90˚의 짝수배, 홀수배를 이용해서
삼각함수의 값을 구하는 과정은 두 단계입니다.
① 1단계: 바꾸기
90˚, 270˚이면 바꾸고 (90˚의 홀수배)
sin → cos
cos → sin
tan → cot
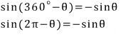
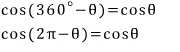
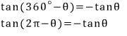
180˚, 360˚이면 안 바꾸고 (90˚의 짝수배)
sin → sin
cos → cos
tan → tan
라디안으로 얘기해보면

② 2단계: 부호 정하기
주어진 각이 몇 사분면 각인지 확인해서 부호 정하기
글로는 복잡한 것 같지만
몇 번만 하다보면 금방 감을 잡을 수 있슴다~
하나씩 해 볼께요
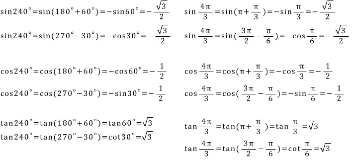
① 90˚이므로 cos으로 바꾸고, 뒤에 있는 θ를 써줍니다.
② 주어진 각은 2사분면의 각이고, 2사분면에서 sin은 +이므로 그냥 끝입니다. (θ는 무조건 예각이라고 가정)

① 90˚이므로 sin으로 바꾸고, 뒤에 있는 θ를 써줍니다.
② 주어진 각은 2사분면의 각이고, 2사분면에서 cos은 -이므로 앞에 -를 붙여줍니다.

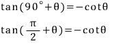
① 90˚이므로 cot로 바꾸고, 뒤에 있는 θ를 써줍니다.
② 주어진 각은 2사분면의 각이고, 2사분면에서 tan는 -이므로 앞에 -를 붙여줍니다.

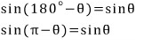
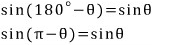
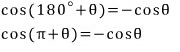
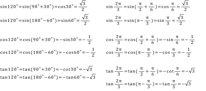
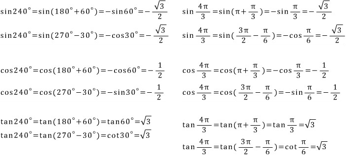
① 180˚이므로 안 바꾸고, 뒤에 있는 θ를 써줍니다.
② 주어진 각은 2사분면의 각이고, 2사분면에서 sin은 +이므로 그냥 끝입니다. (θ는 무조건 예각이라고 가정)

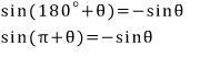
① 180˚이므로 안 바꾸고, 뒤에 있는 θ를 써줍니다.
② 주어진 각은 2사분면의 각이고, 2사분면에서 cos은 -이므로 앞에 -를 붙여줍니다.

① 180˚이므로 안 바꾸고, 뒤에 있는 θ를 써줍니다.
② 주어진 각은 2사분면의 각이고, 2사분면에서 tan는 -이므로 앞에 -를 붙여줍니다.

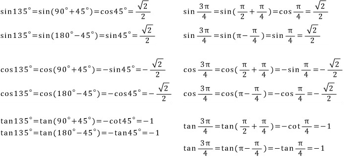
① 180˚이므로 안 바꾸고, 뒤에 있는 θ를 써줍니다.
② 주어진 각은 3사분면의 각이고, 3사분면에서 sin은 -이므로 앞에 -를 붙여줍니다. (θ는 무조건 예각이라고 가정)

① 180˚이므로 안 바꾸고, 뒤에 있는 θ를 써줍니다.
② 주어진 각은 3사분면의 각이고, 3사분면에서 cos은 -이므로 앞에 -를 붙여줍니다.

① 180˚이므로 안 바꾸고, 뒤에 있는 θ를 써줍니다.
② 주어진 각은 3사분면의 각이고, 3사분면에서 tan는 +이므로 그냥 끝입니다.

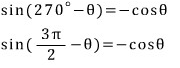
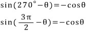
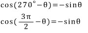
① 270˚이므로 cos으로 바꾸고, 뒤에 있는 θ를 써줍니다.
② 주어진 각은 3사분면의 각이고, 3사분면에서 sin은 -이므로 앞에 -를 붙여줍니다. (θ는 무조건 예각이라고 가정)

① 270˚이므로 sin으로 바꾸고, 뒤에 있는 θ를 써줍니다.
② 주어진 각은 3사분면의 각이고, 3사분면에서 cos은 -이므로 앞에 -를 붙여줍니다.

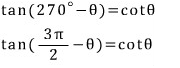
① 270˚이므로 cot로 바꾸고, 뒤에 있는 θ를 써줍니다.
② 주어진 각은 3사분면의 각이고, 3사분면에서 tan는 +이므로 그냥 끝입니다.

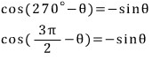
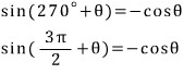
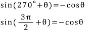
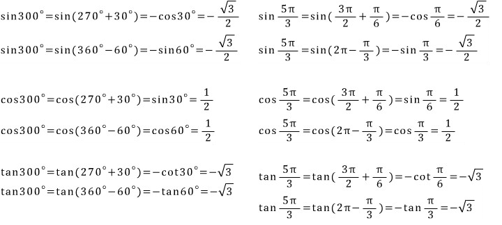
① 270˚이므로 cos으로 바꾸고, 뒤에 있는 θ를 써줍니다.
② 주어진 각은 4사분면의 각이고, 4사분면에서 sin은 -이므로 앞에 -를 붙여줍니다. (θ는 무조건 예각이라고 가정)

① 270˚이므로 sin으로 바꾸고, 뒤에 있는 θ를 써줍니다.
② 주어진 각은 4사분면의 각이고, 4사분면에서 cos은 +이므로 그냥 끝입니다.

① 270˚이므로 cot로 바꾸고, 뒤에 있는 θ를 써줍니다.
② 주어진 각은 4사분면의 각이고, 4사분면에서 tan는 -이므로 앞에 -를 붙여줍니다.

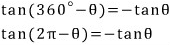
① 360˚이므로 안 바꾸고, 뒤에 있는 θ를 써줍니다.
② 주어진 각은 4사분면의 각이고, 4사분면에서 sin은 -이므로 앞에 -를 붙여줍니다. (θ는 무조건 예각이라고 가정)

① 360˚이므로 안 바꾸고, 뒤에 있는 θ를 써줍니다.
② 주어진 각은 4사분면의 각이고, 4사분면에서 cos은 +이므로 그냥 끝입니다.

① 360˚이므로 안 바꾸고, 뒤에 있는 θ를 써줍니다.
② 주어진 각은 4사분면의 각이고, 4사분면에서 tan는 -이므로 앞에 -를 붙여줍니다.

연습해 볼까요









아오~ 머리 아포~
틀린 게 있으면 안되는데... ;;;;;
PS.
이렇게 구하면 되는데

이상한 짓을 한번 해보겠습니다.

90˚이므로 cos으로 바꾸고
240˚는 3사분면의 각이고, 3사분면에서 sin은 -이므로
이렇게 바꿔야 할 것 같지만 틀린 겁니다..!!

이 공식을 적용하려면
위에서 계속 반복해서 말했듯이
뒤에 있는 θ는
무조건 예각으로 가정해야 합니다..!! (이 경우 θ는 150˚입니다.)
150˚는 분명 예각은 아니지만
예각으로 가정하고 공식을 적용해야 한다는 말씀..!!
즉, 여기서는 (90˚+150˚)가
3사분면의 각이 아닌 2사분면의 각이 되는 것입니다.
150˚가 예각이라고 가정했으니까요
다시 문제로 돌아와서
(90˚+150˚)는 2사분면의 각이고, 2사분면에서 sin은 +이므로
이렇게 바꿔야 합니다.

그래야 제대로된 답이 나옵니다.

호기심이 넘치는 학생들을 위해서
그냥 한번 적어본 것입니다.
전혀 신경쓰지 않아도 되는 내용이니까
너무 머리 아파하지 마세요~ ^-^//
▶ 수학 전체 목록 바로가기 → www.gajok.co.kr/math.html
'수학' 카테고리의 다른 글
| 삼각방정식 (1) (0) | 2021.11.14 |
|---|---|
| 삼각함수의 값 구하기 (3) (0) | 2021.11.07 |
| 삼각함수의 값 구하기 (1) (0) | 2021.10.24 |
| 삼각함수 그래프 (1) (0) | 2021.10.17 |
| 라디안 익숙해지기 (0) | 2021.10.10 |