* 덧셈정리

아래 나오는
모든 공식들은 이 덧셈정리에서 출발합니다.
* 2배각 공식 ---------------------------------------------------------------------

정리하면

* 3배각 공식 ---------------------------------------------------------------------

정리하면

3배각 공식은 거의 나오지도 않고
특히, 탄젠트 3배각은 본 적도 없습니다. ;;;;;
그냥 이런 공식이 있으니까 한번 해본 것 뿐입니다.
너무 신경쓰지 마세요~
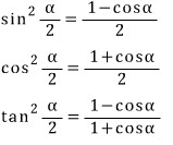
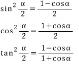
* 반각 공식 ----------------------------------------------------------------------
반각 공식은
코사인 2배각 공식에서 다 나옵니다.

그런데
반각이라는 걸 강조하려고(?) 이렇게 쓰죠

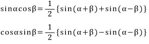
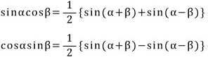
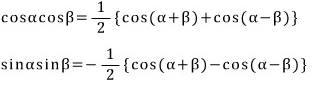
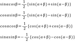
* 곱을 합·차로 변형 -------------------------------------------------------------
사인 덧셈정리 두 식을

더하고 빼면

이번에는
코사인 덧셈정리 두 식을

더하고 빼면

정리하면

* 합·차를 곱으로 변형 -----------------------------------------------------------
합·차공식의 좌변과 우변을 바꾸고

양변에 곱하기 2 (마지막은 곱하기 -2)

치환하고

대입하면

머리 아프죠..?! ㅠ
위에서도 말했듯이
그래도 있는 공식이니까 그냥 한번 해본 것입니다.
너무 신경쓰지 마세요~
우리는
덧셈정리, 2배각, 반각 정도만(?) 외우고
3배각, 곱을 합차로, 합차를 곱으로는
그냥 이런 공식이 있다라는 정도로만 알면 될듯요~
PS.
고등학생이 아직도 요렇게만 외우고 있나요..?! 용감하게..!!

고등학생이라면 이 정도는 외워 줘야... ;;;;;

자주 나오는 값들인데
외우고 있으면 편하잖아요..?!
외우기 싫으면
나올 때마다 이케 유도하던가요 ;;;;;

외울 거죠..?! ^-^// ;;;;;
요기로 가면 → www.gajok.co.kr/math.html
다른 글들도 편리하게 볼 수 있습니다.
