728x90
반응형
삼각함수의 덧셈정리는 기본으로 외워놓고 시작~


먼저, 5로 묶어줍니다.

5가 어디서 나왔냐구요..? 여기서요

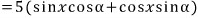
① (사인)으로 합성하려면

공식에 맞게 순서를 바꿔 써주면

이제 눈에 들어오나요..?

말은 빼고 식만 쭈욱 써보면

사인, 코사인 다 쓰기 귀찮으면 탄젠트만 써도 되요~

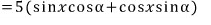
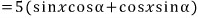
② (코사인)으로 합성하려면

공식에 맞게 순서를 바꿔 써주면

이제 눈에 들어오나요..?

역시, 말은 빼고 식만 쭈욱 써보면

역시 사인, 코사인 다 쓰기 귀찮으면 탄젠트만 쓰세요~

얼추 감이 잡혔으니까
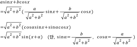
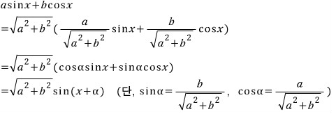
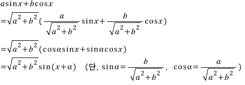
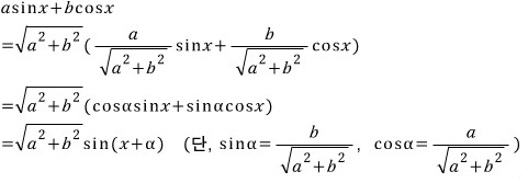
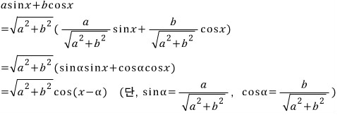
이제 a, b로 놓고 합성해 보겠습니다.
① (사인)으로 합성

또는

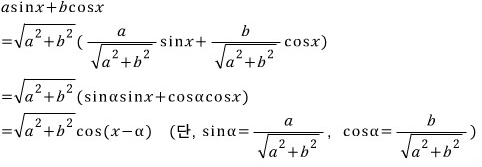
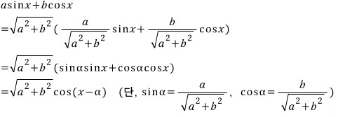
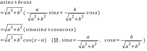
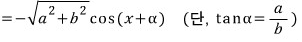
② (코사인)으로 합성

또는

복습하는 셈치고
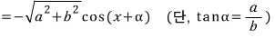
마이너스인 경우도 한번 합성해 볼께요~ ;;;;;
① (사인)으로 합성

또는

② (코사인)으로 합성

또는

삼각함수 합성의 활용 예는
'일차식의 최대최소 (3)' 문제1의 풀이5, 문제2의 풀이4에 있구요
몇 개 더 추가해보면

어케 치환해야 하는지
감이 잡히죠..?! ^-^//
요기로 가면 → www.gajok.co.kr/math.html
다른 글들도 편리하게 볼 수 있습니다.

728x90
반응형