728x90
반응형
두 개의 문장이 있습니다.

같은 말인가요..? 다른 말인가요..?
물론 다르니까 물어보는 거겠죠..?! ;;;;;

이 말은


이 말은

따라서

좀 더 디테일(?)하게 이야기 해보면

부등식 문제에서
등호가 들어가냐... 안 들어가냐...는 항상 머리가 아픕니다. ㅠ
도움이 될란지는 모르겠지만
일차부등식의 해 (4) 를 참고해 주세요~
문제1)

두 조건을 모두 만족하는 k값의 범위는

그런데
풀이집을 보면 조금 다르게 풀어놓았습니다.

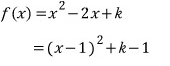
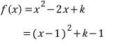
꼭지점의 x좌표가 1이므로

굳이 이렇게
꼭지점까지 확인해가면서 풀 필요가 있을까 싶네요
그냥 꼭지점 신경 안쓰고
조건 두 개로 푸는 것이 갠적으로는 더 나은 것 같슴다. ;;;;;
문제2)

즉, 문제1과 같은 문제라는 거..!!
문제3)

문제4)

즉, 문제3과 같은 문제라는 거..!!
이차부등식 문제에
미분까지 끌어들여서 죄송여~ ^-^// ;;;;;
▶ 수학 전체 목록 바로가기 → www.gajok.co.kr/math.html
728x90
반응형
'수학' 카테고리의 다른 글
| 일차함수 (1) (0) | 2020.12.17 |
|---|---|
| 이차부등식의 해 (4) (0) | 2020.12.14 |
| 일차부등식의 해 (4) (0) | 2020.12.07 |
| 일차부등식의 해 (3) (0) | 2020.12.02 |
| 일차부등식의 해 (2) (0) | 2020.11.30 |