이 글에 대한 AI '클로드'의 평가

(상세한 평가는 이 글 마지막에 있습니다.)
일차함수 이야기를 시작합니다.

표를 만들고

이것을 좌표평면에 찍고

찍힌 점들을 연결하면

끝입니다..!!
점들을 연결해서 직선을 만들었지만
사실 이 직선은 수많은 점들이 모여서 만들어진 것입니다.
위에서는 달랑(?) 5개만 점을 찍었지만, 점을 50개, 500개, 5000개...
이런 식으로 점을 계속해서 찍다보면 그 찍힌 점들이 모여서 직선처럼 보이는 것입니다.
암튼 이런 식으로 일차함수를 그리면 못 그리는 것이 없습니다.
그런데 맨날 이런 식으로 그리면 귀찮고 왠지 초딩스러우니
조금 다른 방식으로 그려보겠습니다.
위에서는 우리가 점을 5개 찍어서 직선을 만들었지만
실제로 모든 일차함수는 직선이기 때문에 점이 2개만 있으면 됩니다.
점이 2개만 정해지면 직선은 무조건 그려집니다. 그것도 유일하게 1개만..!!
2개의 점을 정하는 것는 그리는 사람 맘입니다.
저는 x=-1 과 x=1 로 두 점을 정해 보겠습니다.

이번에는 이 2개의 점을 마음가는대로 정하는 것이 아니라
x=0 일 때와 y=0 일 때로 정해보겠습니다.

이것이 x절편과 y절편을 이용해서 그리는 방법입니다.
그래프가
x축을 끊고 지나가는 점이 x절편이고
y축을 끊고 지나가는 점이 y절편입니다.
y에 0을 대입하면 x절편이 나오고

x에 0을 대입하면 y절편이 나옵니다.

정확히 표현하면
x절편은 -1
x절편의 좌표는 (-1, 0)
y절편은 1
y절편의 좌표는 (0, 1)

x에 0을 대입하면
y값은 a값에 관계없이 무조건 b입니다.
y=a·0+b=b
그래서, y=ax+b 에서 b를 y절편이라 부릅니다.
그냥 b의 값이 y절편이 되거든요
참고로 (당연한 얘기지만)
y절편이 0이면
그 직선은 무조건 원점을 지나게 되어 있습니다. y절편이 0이니까요
y=2x, y=5x, y=100x, y=-2x, y=-30x 등등
이 직선들은 모두 원점을 지나는 직선입니다.
이번에는
y=x, y=2x, y=3x 를 그려보겠습니다.
이 세 개의 그래프는
y절편이 모두 0이기 때문에
x절편, y절편을 이용해서 그래프를 그릴 수가 없습니다.
(y절편이 0이면 x절편도 0이 될 수 밖에 없거든요)
물론, x절편, y절편 말고
임의의 두 점을 찍어서 그려도 되지만
여기서는 다른 방법으로 그려보겠습니다.

y=x 는 x가 1씩 증가할 때마다 y도 1씩 증가합니다.
y=2x 는 x가 1씩 증가할 때마다 y는 2씩 증가합니다.
y=3x 는 x가 1씩 증가할 때마다 y는 3씩 증가합니다.
눈치챘겠지만
x앞에 붙은 숫자가 y의 변화량을 결정하는 것입니다.
이제 이것을 이용해서 그래프를 그려보겠습니다.
y=x
① 먼저 y=x 가 지나는 한점을 찍습니다.
(0, 0), (1, 1), (2, 2), (100, 100) 등등 아무점이나 상관없습니다.
저는 (1, 1)을 찍겠습니다.
② 찍은 점에서 x축과 평행하게 1만큼 이동한 후
y축과 평행하게 1만큼 이동하여 도달한 곳에 점을 찍습니다.
x가 1씩 증가할 때마다 y도 1씩 증가하니까요
③ 이제 처음 찍은 점(출발한 점)과 나중에 찍은 점(도착한 점)을
잇기만 하면 됩니다.

y=2x
① 먼저 y=2x 가 지나는 한점을 찍습니다.
(0, 0), (1, 2), (2, 4), (100, 200) 등등 아무점이나 상관없습니다.
이번에는 (0, 0)을 찍겠습니다.
② 찍은 점에서 x축과 평행하게 1만큼 이동한 후
y축과 평행하게 2만큼 이동하여 도달한 곳에 점을 찍습니다.
x가 1씩 증가할 때마다 y는 2씩 증가하니까요
③ 마찬가지로 출발점과 도착점을 이으세요

y=3x
① 먼저 y=3x 가 지나는 한점을 찍습니다.
(0, 0), (1, 3), (2, 6), (100, 300) 등등 아무점이나 상관없습니다.
이번에도 (0, 0)을 찍겠습니다.
② 찍은 점에서 x축과 평행하게 1만큼 이동한 후
y축과 평행하게 3만큼 이동하여 도달한 곳에 점을 찍습니다.
x가 1씩 증가할 때마다 y는 3씩 증가하니까요
③ 출발점과 도착점을 이으세요

바로 이 x앞에 붙어있는 숫자를
우리는 그 직선의 (또는 그 그래프의) 기울기라고 부릅니다.
y=x 의 기울기는 1
y=2x 의 기울기는 2
y=3x 의 기울기는 3
그려봐서 알겠지만
기울기가 커질수록 그래프는 점점 더 기울어집니다.
이것이 한점과 기울기를 이용해서 그리는 방법입니다.
이제 y=ax+b 에서
a와 b의 이름이 모두 나왔네요
a는 기울기
b는 y절편
몇 개 연습해 보겠습니다.
y절편과 기울기를 이용해서 그리는 것입니다..!!

이번에는 기울기가 음수인 경우를 그려보겠습니다.

y=-x 는 x가 1씩 증가할 때마다 y는 1씩 감소합니다.
y=-2x 는 x가 1씩 증가할 때마다 y는 2씩 감소합니다.
y=-3x 는 x가 1씩 증가할 때마다 y는 3씩 감소합니다.

기울기가 음수일 때는 기울기가 작아질수록 그래프는 점점 더 기울어집니다.
기울기가 -1, -2, -3 으로 점점 작아지고 있습니다.
기울기가 양수일 때는 어땠죠..?
기울기가 1, 2, 3 으로 점점 커질수록 그래프는 점점 더 기울어졌습니다.
기억나요..?! ;;;;;

기울기 -1/2 을 (-1)/2 로 해석하면 → x가 2씩 증가할 때마다 y는 1씩 감소

기울기 -1/2 을 1/(-2) 로 해석하면 → x가 2씩 감소할 때마다 y는 1씩 증가

결과는 똑같습니다.
어떻게 해석을 하든 상관은 없지만
첫번째 경우와 같이
마이너스를 윗쪽(분자)에 붙여주고 생각하면 좀 더 편한 것 같습니다. 역시 여러분 맘입니다.

기울기 -2/3 을 (-2)/3 로 해석하면 → x가 3씩 증가할 때마다 y는 2씩 감소

기울기 -2/3 을 2/(-3) 로 해석하면 → x가 3씩 감소할 때마다 y는 2씩 증가

역시 결과는 같습니다.
이 시점에서 잠깐 정리해보면
기울기가 양수이면
기울기가 커질수록 점점 더 기울어지고
그래프는 오른쪽 위로 쭈~욱 올라갑니다.
기울기가 음수이면
기울기가 작아질수록 점점 더 기울어지고
그래프는 오른쪽 아래로 쭈~욱 내려갑니다.
여기까지 잘 따라왔으면
앞으로 일차함수 그래프는 부담없이 그릴 수 있을 것입니다.
잘 이해가 안되더라도 욕심내지 말고
심심할 때(?) 편안한 마음으로 한번씩 읽어보세요~
한번씩 읽을 때마다 조금씩 조금씩 이해가 더 잘 될 거예요 ;;;;;
아차..!! 빼먹은 게 있네요
y=2 의 그래프를 한번 그려보겠습니다.
y=2 를 해석해보면
x에 어떤 값이 오더라도 (다른 말로, x값에 관계없이 또는 임의의 x에 대하여)
y는 무조건 2라는 소리입니다.
굳이 표를 만들어보면

이제 점을 찍어보면 금방 감이 옵니다.

이것이 y=2 의 그래프입니다.
쉽죠.. 쉽습니다.. 어렵지 않아요..
x=3 도 그려보겠습니다.
x=3 을 해석해보면
y에 어떤 값이 오더라도 (다른 말로, y값에 관계없이 또는 임의의 y에 대하여)
x는 무조건 3이라는 소리입니다.
굳이 또 표를 만들어보면

역시 점을 찍어보면 바로 감이 옵니다.

이것이 x=3 의 그래프입니다.
문제1)
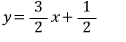
기울기가 3이고 y절편이 2인 직선의 방정식은?
y=3x+2
뭐.. 이런 문제가.. ;;;;;
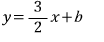
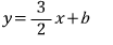
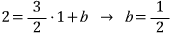
문제2)
기울기가 3이고 점 (2, 1)을 지나는 직선의 방정식은?
일단 기울기가 3이니까

여기에 (2, 1)을 대입하면

따라서, 구하는 직선의 방정식은

고등학생은 살짝 다르게 구하기도 하죠

문제3)
y절편이 -2이고 점 (3, 2)를 지나는 직선의 방정식은?
일단 y절편이 -2니까

여기에 (3, 2)를 대입하면

따라서, 구하는 직선의 방정식은

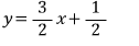
문제4)
두 점 (1, 2)와 (3, 5)를 지나는 직선의 방정식은?
x는 1에서 3으로 2증가했고
y는 2에서 5로 3증가했으므로 기울기는 3/2
방향(?)을 바꿔서 해봐도
x는 3에서 1로 2감소했고
y는 5에서 2로 3감소했으므로 기울기는 (-3)/(-2)=3/2
이러나 저러나 기울기는 3/2
따라서, 구하는 직선의 방정식은 일단

여기에 (1, 2)를 대입하면

물론 (3, 5)를 대입해서 b값을 구해도 됩니다.
그래도 이왕이면 숫자가 작은 걸로
암튼... 그래서 구하는 직선의 방정식은

문제5)
두 점 (3, 2)와 (0, 1)을 지나는 직선의 방정식은?
문제4와 같이 풀어도 되지만
주어진 점이 좀 특별한 점입니다.
(0, 1)에서 x좌표가 0이므로
y좌표가 y절편이 됩니다. 즉, y절편은 1
따라서, 구하는 직선의 방정식은 일단

여기에 (3, 2)를 대입하면

여기에 (0, 1)을 대입하면 a값이 안 나와요..!!
한번 해보세요~ ;;;;;
암튼... 그래서 구하는 직선의 방정식은

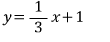
문제6)
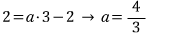
일차함수 y=ax+1 이 점 (3, 2)를 지날 때, a값은?
(3, 2)를 지나므로
x=3, y=2 를 대입해서 구하면 됩니다.

끝입니다.
문제5와 똑같은 문제입니다. ;;;;;
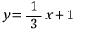
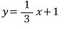
이번에는
기울기를 이용해서 풀어보겠습니다.
y=ax+1 의 y절편이 1이므로
y절편의 좌표는 (0, 1)입니다.
그리고 (3, 2)를 지난다고 했습니다.
직선을 그리기 위해서 필요한 두 점이 나왔네요
(0, 1)과 (3, 2)
x가 0에서 3으로 3증가할 때
y는 1에서 2로 1증가했습니다.

따라서

방향(?)을 바꿔서 해봐도
x가 3에서 0으로 3감소할 때
y는 2에서 1로 1감소했습니다.

따라서

(0, 1)에서 (3, 2)로 가든
(3, 2)에서 (0, 1)로 가든
x와 y가 서로 방향만 맞으면 아무런 상관이 없습니다.
x가 0에서 3으로 가면
y도 1에서 2로 가야지
거꾸로 2에서 1로 가면 안된다는 말씀입니다.
마찬가지로
x가 3에서 0으로 가면
y도 2에서 1로 가야지
거꾸로 1에서 2로 가면 안된다는 말씀입니다.
이제 기울기는 완죤히 이해되죠..?! ;;;;;
문제7)
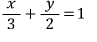
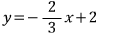
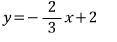
두 점 (3, 0)과 (0, 2)를 지나는 직선의 방정식은?
풀이1)
y절편이 2이므로 일단

여기에 (3, 0)을 대입하면

따라서, 구하는 직선의 방정식은

풀이2)
x는 3에서 0으로 3감소
y는 0에서 2로 2증가
따라서

그리고
y절편은 2이므로
구하는 직선의 방정식은

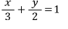
풀이3)
(0, 2)가 y절편을 나타내는 것처럼
(3, 0)은 x절편을 나타냅니다.

이 공식을 이용하면

답은 이렇게만 써도 되고
각 항에 6을 곱해서 써도 되고

y를 x에 대한 식으로 바꿔서 써도

아무런 상관이 없습니당~
이제는 직선의 방정식을 구하고 그래프를 그리는데
어느 정도 자신감이 생겼으리라 믿슴다.
이 자신감을 바탕으로
조금은 다른(?) 일차함수 그래프를 그려보겠습니다.

x=0 이면 y=2 입니다. a값에 관계없이 무조건..!!

다시 말해, 이 그래프는
(0, 2)를 지납니다. a값에 관계없이 무조건..!!
그렇기 때문에
y=ax+2 는
이렇게 그리든

이렇게 그리든

아무런 상관이 없지만
(0, 2)는 반드시 지나게 그려야 합니다..!!
그럼
이 직선은 어떻게 그려야 할까요..?

a로 묶어보면

보이나요..?
a값에 관계없이 무조건 지나는 점이
이번에는
x=3 이면 y=1 입니다. a값에 관계없이 무조건..!!

다시 말해, 이 그래프는
(3, 1)을 지납니다. a값에 관계없이 무조건..!!
그렇기 때문에
y=a(x-3)+1 은
이렇게 그리든

이렇게 그리든

아무런 상관이 없지만
(3, 1)은 반드시 지나게 그려야 합니다..!!
이해되죠..?! ;;;;;
문제 하나 풀어볼께요~
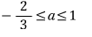
문제8)
직선 y=ax+1 이 두 점 A(1, 2), B(3, -1)을 잇는 선분 AB와
만나기 위한 a값의 범위는?
y=ax+1 이 a값에 관계없이 지나는 점은 (0, 1)
바로 이 (0, 1)을 찾아야 문제풀이를 시작할 수가 있습니다.
(0, 1)을 찾지 못하면 어떻게 할 방법이 없습니다.
우리는 (0, 1)을 찾았으니 문제를 풀어볼께요~
주어진 직선이 선분 AB와 만나기 위해서는
이 경우를 기준으로는 기울기가 더 작아져야 하고

이 때의 기울기는
(0, 1)과 (1, 2)를 지나고 있으므로 1입니다.
즉, a는 1보다 작아져야 합니다.

이 경우를 기준으로는 기울기가 더 커져야 합니다.

이 때의 기울기는
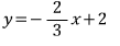
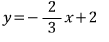
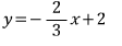
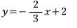
(0, 1)과 (3, -1)을 지나고 있으므로 -2/3입니다.
즉, a는 -2/3보다 커져야 합니다.

따라서, 주어진 직선이 선분 AB와 만나기 위해서는

문제를 바꿔서 선분 AB와 만나지 않을 조건은

여기까지 입니다~ ^-^//
▶ 수학 전체 목록 바로가기 → www.gajok.co.kr/math.html


'수학' 카테고리의 다른 글
| 일차함수 (3) (0) | 2020.12.24 |
|---|---|
| 일차함수 (2) (0) | 2020.12.21 |
| 이차부등식의 해 (4) (0) | 2020.12.14 |
| 이차부등식의 해 (3) (0) | 2020.12.10 |
| 일차부등식의 해 (4) (0) | 2020.12.07 |