728x90
반응형
문제1)

끝~ 답입니다..!!
이걸 이해하고 푸는 학생들도 있을 것이고
걍 그러려니 하고 외워서 푸는 학생들도 있을 것입니다.
맘 편하게 걍 외우는 것도 좋은 선택이지만
그래도 '난 꼭 이해해야겠다'는 분들은 '이차방정식의 해 (8)' 참고요~
이차방정식..?!
방정식이나 부등식이나 거기서 거기 거든요
사실... 이 문제를
아래와 같이 풀어 놓은 문제집도 많이 있습니다.

따라서

뭐 나름 이해하기 쉽고 깔끔한 풀이입니다.
갠적으로 좋아하진 않지만... ;;;;;
문제2)

따라서

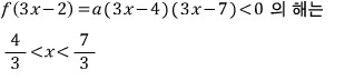
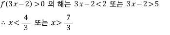
문제3)

따라서

끄으으으읏~ ^-^//
▶ 수학 전체 목록 바로가기 → www.gajok.co.kr/math.html
728x90
반응형
'수학' 카테고리의 다른 글
| 일차함수 (2) (0) | 2020.12.21 |
|---|---|
| 일차함수 (1) (0) | 2020.12.17 |
| 이차부등식의 해 (3) (0) | 2020.12.10 |
| 일차부등식의 해 (4) (0) | 2020.12.07 |
| 일차부등식의 해 (3) (0) | 2020.12.02 |