이 글에 대한 AI '클로드'의 평가

(상세한 평가는 이 글 마지막에 있습니다.)
문제1)
세 점 A(3, 5), B(1, 2), C(4, 3)으로 이루어진
삼각형 ABC의 넓이를 구하시오
풀이1)
고등학생은 대부분 이렇게 풀죠

먼저
두 점 A와 B를 지나는 직선의 방정식을 구하고
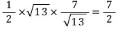
3x-2y+1=0
점 C(4, 3)에서 이 직선에 이르는 거리를 구합니다.

이것이 이 삼각형의 높이입니다.
그리고, 밑변(선분 AB)의 길이는

따라서, 삼각형 ABC의 넓이는

물론

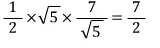
두 점 A와 C를 지나는 직선의 방정식을 구하고
2x+y-11=0
점 B(1, 2)에서 이 직선에 이르는 거리를 구하고

밑변(선분 AC)의 길이도 구해서

삼각형 ABC의 넓이를 구해도 됩니다.

두 점 B와 C를 지나는 직선의 방정식도 구해 보자구요..?
싫어요~ 여러분이 해 보세요~
풀이2)
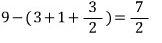
이번엔 초등학생 방식으로 풀어볼까요

사각형 넓이에서
삼각형 3개의 넓이를 빼주면 끝~

때론 초등학생 방식이 훨씬 더 쉬울 때가 있죠 ;;;;;
풀이3)
공식을 알고 있는 분들이 얼마나 있으려나..?
세 점 A(a, b), B(c, d), C(0, 0)으로 이루어진
삼각형의 넓이는

이 공식은
주어진 세 점 중에서
한점이 원점 (0, 0)일 때만 써먹을 수 있는 공식입니다.
그럼 한번 풀어볼까요
원점이 없다구요..?
그럼 옮기죠... 뭐... 요렇게

그림이 좀 엉성하지만
알아볼 수는 있을 듯요
점 B(1, 2)를 원점 (0, 0)으로 옮기면
점 A(3, 5)는 점 (2, 3)으로
점 C(4, 3)은 점 (3, 1)로 옮겨집니다.
이렇게 옮겨도
삼각형의 넓이는 변함이 없잖아요
이제 위의 공식에 넣어보면

점 A를 원점으로 옮기자구요..?
뭐... 한번 해보죠

점 A(3, 5)를 원점 (0, 0)으로 옮기면
점 B(1, 2)는 점 (-2, -3)으로
점 C(4, 3)은 점 (1, -2)로 옮겨집니다.
역시 공식에 넣어보면

결과는 같습니다.
참고로
세 점 A(a, b), B(c, d), C(e, f)로 이루어진
삼각형의 넓이를 구하는 공식도 있는데 살짝(?) 복잡합니다.
궁금하면 검색해 보세요~
암튼, 이렇게
세 가지 방법으로 삼각형의 넓이를 구해봤는데
여러분은 어떤 풀이가 젤 맘에 드나요..? ;;;;;
각자의 취향에 맞는 방법으로 푸세요~
문제2)
세 점 A(3, 5), B(1, 2), C(4, 2)로 이루어진
삼각형 ABC의 넓이를 구하시오
어떤 방법으로 풀까
고민하고 있는 건 아니죠..?!

이 경우는
삼각형의 세 변 중 한변이 x축에 평행합니다.
걍 밑변과 높이를 구해서 넓이를 구하면 됩니다.

A(3, 5), B(1, 2), C(4, 3)에서
A(3, 5), B(1, 2), C(4, 2)로
달랑 점 C의 y좌표만 3에서 2로 바꿨을 뿐인데
상황이 이렇게 달라지네요
수학이 원래 그렇죠... 뭐...
그래서 수학쌤들이 항상 하는 말들이 있죠
문제 푸는 것도 중요하지만
문제 잘 읽고 상황파악 먼저 잘 하라고..!!
점 C의 x좌표만 바꿔볼까요
A(3, 5), B(1, 2), C(4, 3)에서
A(3, 5), B(1, 2), C(3, 3)으로

이번에는 한변이 y축과 평행하네요
마찬가지로
밑변과 높이만 구해서 넓이를 구하면 됩니다.

여기까지요오~~ ^-^//
▶ 수학 전체 목록 바로가기 → www.gajok.co.kr/math.html


'수학' 카테고리의 다른 글
| 식, 함수, 방정식 (0) | 2021.02.22 |
|---|---|
| 소금물의 농도 (0) | 2021.02.18 |
| 삼각형의 밑변과 높이 (0) | 2021.02.11 |
| 도형 읽고 그리기 (0) | 2021.02.08 |
| 유리함수 (2) (0) | 2021.02.04 |