728x90
반응형

좌변과 우변이 없는
그냥 단순한 식에서는 특정한 수를 곱하거나 나눠주면 안돼요~

함수는 좌변과 우변이 있지만
지금은 좌변 y는 가만히 놔두고 우변만 바꾸는 거니까
우변에만 특정한 수를 곱하거나 나눠주면 안돼요~

방정식의 양변에 같은 수를 곱하거나 나눠주는 것은 상관없습니다.
물론 아래와 같이 걍 풀어도 되지만... 굳이...

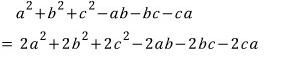
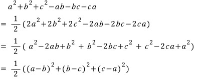
수학공부를 하다보면
가끔 한번씩 등장하는 식이 있습니다.

인수분해 공식에도 등장하죠

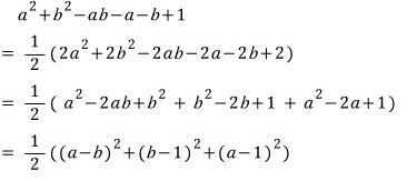
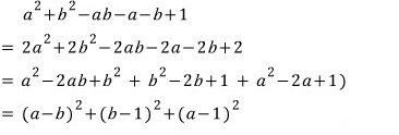
이 식을 한번 바꿔볼께요. 요렇게

이러면 안되는 거 알죠..?!
멀쩡한 식에 2를 곱해주면 안된다고 위에서 말씀드렸슴다..!!
2를 곱해줘야 한다면 이렇게 해야 합니다.
그래야 식에 변함이 없으니까요

계속해서 정리하면

아래와 같이 정리하면 안돼요~

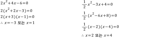
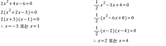
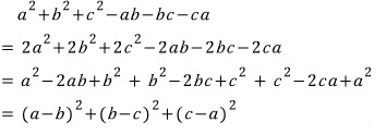
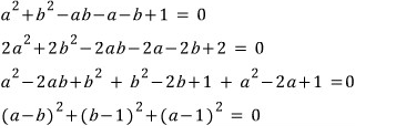
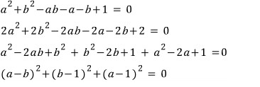
이번엔 그냥 단순식이 아니라
좌변과 우변이 있는 방정식입니다.

이 때는 좌변과 우변에 2를 곱해줘서
이렇게 쓸 수 있죠 (우변은 2를 곱해줘도 0입니다.)

계속해서 정리하면

하나 더 할께요~

아래 식에서
c에 1을 대입한 것 뿐인데 많이 달라 보이죠..?!

순서까지 바꿔서 써놓으면
더 이상하게 보입니다. ㅠ

암튼 정리해 볼까요

이러면 안돼요~

뭐... 방정식이라면 이렇게

여기까지요오~ ^-^//
요기로 가면 → www.gajok.co.kr/math.html
다른 글들도 편리하게 볼 수 있습니다.

728x90
반응형
'수학' 카테고리의 다른 글
| 절댓값 그래프 (2) (0) | 2021.03.01 |
|---|---|
| 절댓값 그래프 (1) (1) | 2021.02.25 |
| 소금물의 농도 (0) | 2021.02.18 |
| 삼각형 넓이 구하기 (1) (0) | 2021.02.15 |
| 삼각형의 밑변과 높이 (0) | 2021.02.11 |