728x90
반응형
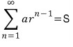
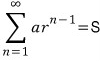
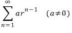
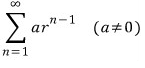
등비수열로 이루어진 급수를
등비급수라고 부르고 (또는 무한등비급수)
셤에 나오는 문제는
대부분이 등비급수입니다.
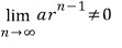
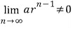
등비급수의 합이 존재하려면

등비급수의
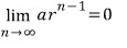
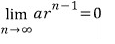
일반항의 급한값이 0이 되어야 하고

그러려면, 등비급수의 공비는

똑같은 얘기를
거꾸로 다시 한번 해보면
등비급수의 공비가

이면
등비급수의
일반항의 급한값은 0이 되지 않고

따라서
등비급수의 합은 존재하지 않습니다. (발산)

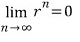
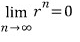
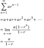
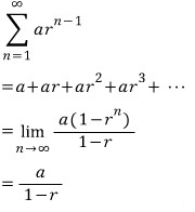
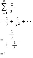
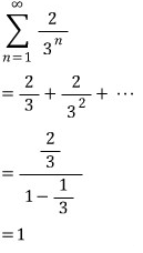
그래서, 많이 보던
이런 공식이 등장합니다.
등비급수의 공비가

일 때

이므로
등비급수의 합은

많이 보던 공식 맞죠..?! ;;;;;
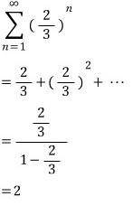
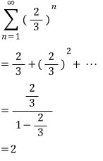
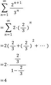
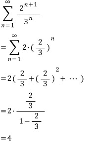
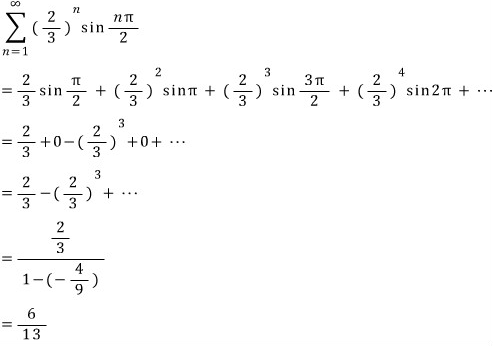
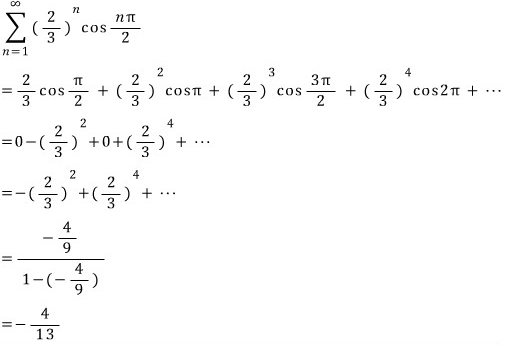
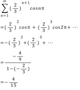
문제1)

문제2)

문제3)

문제4)

아래와 같이
먼저 지수를 정리하고 푸는 경우도 있는데... 굳이

문제5)

문제6)

문제7)

초딩때
공식으로 풀었던 순환소수 문제도 여기서 등장합니다.
문제8)

답은 이미 알지만
그래도 무한급수로 풀어보면

문제9)

문제10)

문제11)

PS.
헷갈리면 안되는 것이
등비급수가

수렴하기 위한 조건은

하지만
등비수열이

수렴하기 위한 조건은

이해되죠..?! ^-^// ;;;;;
요기로 가면 → www.gajok.co.kr/math.html
다른 글들도 편리하게 볼 수 있습니다.

728x90
반응형