728x90
반응형
∠C=90˚인 직각삼각형 ABC에서

지금은

이렇게 한단계 거쳐서 구했지만
앞으로는 그림을 딱보고

바로바로 눈에 들어와야 합니다.
한단계만 거치면 되는데
굳이 그럴 필요가 있냐구요..?
예..!!
그럴 필요가 반드시 있습니다.
나중을 위해서..!!
그러니까
얼른얼른 익숙해 지세요~
그러려면
연습을 많이 해야겠죠..?! ;;;;;

어느 정도 익숙해 졌나요..?!
그럼 이제
삼각형의 넓이를 구하는데 적용해 볼까요
△ABC의 넓이를 S라 하면

정리하면

어디서 많이 보던 공식 맞죠..?! ;;;;;
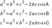
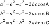
이번에는
코사인법칙에 적용해보면

정리하면

지금은 교과서에 나오지 않는 공식같은데
예전에는 제1코사인 법칙이라고 불렸던 공식입니다.
참고로
예전에 제2코사인 법칙이라고 불렸던 공식을

지금은 그냥
코사인 법칙이라고 하는 것 같네요
삼각비..!!
그럭저럭 할 만하죠..?! ^-^//
요기로 가면 → www.gajok.co.kr/math.html
다른 글들도 편리하게 볼 수 있습니다.

728x90
반응형