728x90
반응형

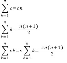
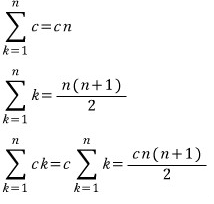
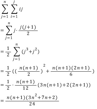
위에 써놓은 기본적인 시그마공식 3개
헷갈리는 거 아니죠..?!
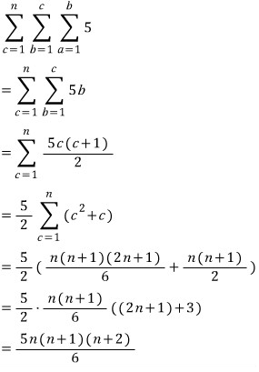
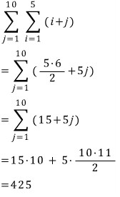
아래 문제들도 한번 풀어볼까요

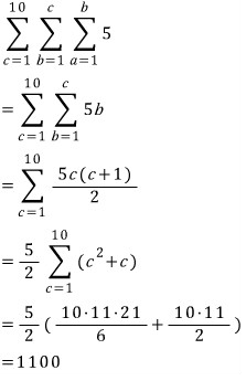
좀 낯선가요..?
그래도 자꾸 보다보면 익숙해 지겠죠... 뭐
이해는 여러분의 몫이고
저는 계속 나갑니다~ ㅎ

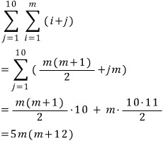
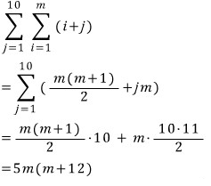
식정리가 잘 안되면 '통분' 참고요~


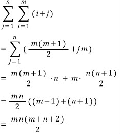
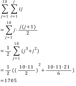
이번에는 좀 쉽게(?) 가볼까요 ;;;;;




시그마... 만만찮죠..?! ^-^//
요기로 가면 → www.gajok.co.kr/math.html
다른 글들도 편리하게 볼 수 있습니다.

728x90
반응형