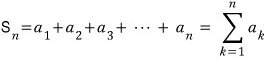
첫째항부터 n항까지의 합을
급수에서는 '부분합'이라고 부릅니다.

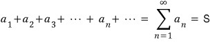
그런데, 첫째항부터 n항까지가 아니라
무한대항까지 계속 더하는 식이 있습니다. 요렇게

이 식의 이름이 바로 '급수'입니다.
만일
이 식(급수)의 값이 존재하면

이 급수는 '수렴한다'고 하고
이 값을 '급수의 합'이라고 부릅니다.
개인적으로는
'급수의 합'보다는 그냥 '급수' 또는 '급수의 값'이라고 부르는 것이
좀 더 의미에 부합하지 않을까하는 생각을 해봅니다. ;;;;; 암튼
그리고
이 식(급수)의 값이 존재하지 않으면

이 급수는 '발산한다'고 하면 되겠죠..?!
대충 이 정도로
용어정리는 된 것 같슴다~
그럼 이 급수의 합은 어케 구하느냐..?
뭐... 간단(?)합니다.
부분합을 먼저 구하고
n을 무한대로 보냅니다..!!
식으로 써보면

한마디로
급수의 합 = 부분합의 극한값
시그마에... 리미트에... 기호가 복잡(?)해서 그렇지
당연하고도 간단한 얘기입니다.
어렵다고 엄살부리지 마세요~ ;;;;;
문제1)
다음 급수의 수렴, 발산을 조사하고
수렴하면 그 합을 구하시오

단계적으로 구해보면
일반항

부분합

급수의 합

따라서, 이 급수는 발산..!!
한방에 풀어보면

단계적으로 풀든, 한방에 풀든
취향대로 푸세여~
문제2)
다음 급수의 수렴, 발산을 조사하고
수렴하면 그 합을 구하시오

단계적으로 풀어보면
일반항

부분합

급수의 합

따라서, 이 급수는 발산..!!
한방에 풀어보면

문제3)
다음 급수의 수렴, 발산을 조사하고
수렴하면 그 합을 구하시오

단계적으로 풀어보면
일반항

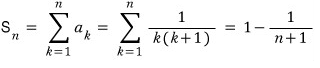
부분합 ('분수식의 변형 (1)' 참고요~)

급수의 합

따라서, 이 급수는 수렴하고, 급수의 합은 1
한방에 풀어보면

이제 워밍업은 얼추 끝났구여
진짜 중요한 얘기는 지금부터입니다. ㅠ
중요하다고 했지
어렵다고는 하지 않았습니다. ;;;;;
문제1로 돌아가서

이 급수는
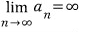
항의 값이 점점 커지고 있습니다. 즉
일반항의 극한값이 무한대입니다.

점점 커지는 수를 계속 더하는데
그 값이 존재할 리 없습니다.
그러므로, 볼 것이 없이
이 급수는 발산합니다..!!
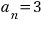
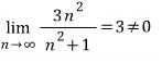
문제2로 돌아가서

이 급수는
항의 값이 커지는 것은 아니지만 무조건 3입니다. 즉
일반항의 극한값이 3입니다.

3을 무한대로 계속 더하는데
그 값이 존재할 리 없습니다.
역시, 볼 것도 없이
이 급수는 발산합니다..!!
문제3으로 돌아가서

이 급수는
항의 값이 점점 작아지고 있습니다. 즉
일반항의 극한값이 0입니다.

점점 작아지는 수를 계속 더해가면
그 값은 어떤 값으로 수렴합니다.
가 아니고
점점 작아지는 수를 계속 더해가면
그 값은 어떤 값으로 수렴할 수도 있고, 발산할 수도 있습니다..!!
자세한 얘기는 뒤에서...
정리하면
급수의 합을 구하라고 하면
위의 문제1, 2, 3처럼 바로 풀지 말고
일단
일반항의 극한값부터 확인해 보라는 말씀입니다..!!
① 일반항의 극한값≠0 이면
급수는 무조건 발산하므로
답안지에
그냥 발산한다고 쓰면 됩니다..!!
굳이 부분합의 극한값을 구할 필요가 없습니다.
구해봤자 발산하거든요
② 일반항의 극한값=0 이면
급수가 수렴할 수도, 발산할 수도 있으니까
그 때는 문제1, 2, 3에서 풀었던 것처럼
부분합의 극한값을 구해보고
수렴하는지 발산하는지 확인하면 되구요..!!
그럼, 이제
위의 문제1, 2, 3을 다시 풀어 볼까요 ;;;;;
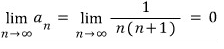
문제4)
다음 급수의 수렴, 발산을 조사하고
수렴하면 그 합을 구하시오

일반항

일반항의 극한값

일반항의 극한값이 존재하지 않으므로
다시 말해
일반항의 극한값이 0이 아니므로

이 급수는 발산..!!
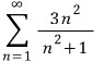
문제5)
다음 급수의 수렴, 발산을 조사하고
수렴하면 그 합을 구하시오

일반항

일반항의 극한값

일반항의 극한값이 3이므로
다시 말해
일반항의 극한값이 0이 아니므로

이 급수는 발산..!!
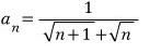
문제6)
다음 급수의 수렴, 발산을 조사하고
수렴하면 그 합을 구하시오

일반항

일반항의 극한값

일반항의 극한값이 0이므로
위의 문제3과 같이 급수의 합을 구해보면

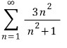
문제7)
다음 급수의 수렴, 발산을 조사하고
수렴하면 그 합을 구하시오

일반항

일반항의 극한값

일반항의 극한값이 0이므로
급수의 합을 구해보면 ('시그마 (2)' 참고요~)

이 문제와 같이
일반항의 극한값이 0이어도
급수가 발산하는 경우가 있습니다.
일반항의 극한값이 0이라고 해서
그 급수가 무조건 수렴하는 것은 아니라는 거..!! 잊지마세요~
정리하면
일반항의 극한값이 0이라고 해서
급수가 반드시 수렴하는 것은 아니다.

급수가 수렴하면
일반항의 극한값은 무조건 0이다.

일반항의 극한값이 0인 것은 급수가 수렴하기 위한
필요조건이지 충분조건은 아닙니다..!!
문제8)
다음 급수가 발산함을 보이시오

일반항의 극한값을 확인해보면

일반항의 극한값이 0이 아니므로
이 급수는 발산..!!
문제9)
다음 급수가 발산함을 보이시오

일반항의 극한값을 확인해보면

에궁...
일반항의 극한값이 0이네요
그럼 급수의 합을
직접 구해서 발산함을 보여야죠... 뭐

문제7과
같은 문제라는 거 알고 있죠..?! ;;;;;
끄으으으읏~ ^-^//
요기로 가면 → www.gajok.co.kr/math.html
다른 글들도 편리하게 볼 수 있습니다.
