728x90
반응형
삼각비 3개 중에 (싸인, 코사인, 탄젠트)
1개가 정해지면 나머지 2개는 자동으로 정해집니다.
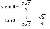
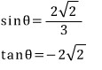
문제1)

풀이1)
직각삼각형을 하나 그리고

나머지 한변의 길이를 구합니다.


중학생은
여기서 끝내면 되고
고등학생은
몇 사분면 각인지 확인하고 부호 결정하기..!!
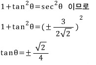
풀이2)
별루 좋아하진 않지만
공식에 넣어서 구해보면

이런 공식도 있네요

역시 고등학생은
몇 사분면 각인지 확인하고 부호 결정하기..!!
깜박하면 안돼요~
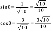
문제2)

직각삼각형을 그립니다. (부호는 신경쓰지 마세요~)


θ가 제2사분면 각이므로 답은

공식으로 구하는 건 여러분이 직접 해보세요~
저는 직각삼각형을 그려서 구하는 게 편해서리... ;;;;;
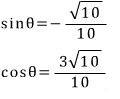
문제3)

역시 부호는 무시하고 직각삼각형을 그립니다.

1이 3보다 길게 그려졌네요 ㅠ 그래도 뭐
문제 푸는데는 아무런 문제가 되지 않는다는 거

θ가 제4사분면 각이므로 답은

역시 공식으로 구하는 건 여러분의 몫입니다.
저는 요기까지yo~ ^-^//
요기로 가면 → www.gajok.co.kr/math.html
다른 글들도 편리하게 볼 수 있습니다.

728x90
반응형