728x90
반응형
삼각비에는
기본적인 규칙(공식)이 몇 개 있습니다.

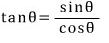
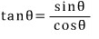
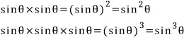
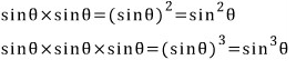
①

확인해 보면

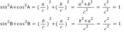
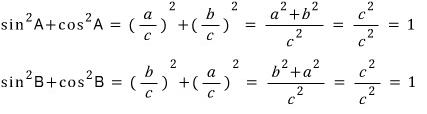
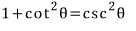
②

확인해 보면

참고로
원래는 이렇게 쓰는 것이 맞지만

그냥 간단하게 이렇게 쓰는 것입니다.

뭐... 이런 거 아니예요~ ;;;;;

혹시나 해서 한번 적어봤슴다.
다시 본론으로 돌아와서

정리하면

굳이 사용빈도를 따지자면

이 공식도 심심찮게 사용되는 유용한 공식이고

이 공식은 가끔 한번씩 써먹지만
그래도 알아는 둬야 하는 공식이고

결론... 세 개 다 외우세요~ ^-^//
요기로 가면 → www.gajok.co.kr/math.html
다른 글들도 편리하게 볼 수 있습니다.

728x90
반응형