144의 약수의 개수와 총합은?
걍 구해보면
1 x 144
2 x 72
3 x 48
4 x 36
6 x 24
8 x 18
9 x 16
12 x 12
따라서
약수의 개수는
1, 2, 3, 4, 6, 8, 9, 12, 16, 18, 24, 36, 48, 72, 144 → 15개
약수의 총합은
1 + 2 + 3 + 4 + 6 + 8 + 9 + 12 + 16 + 18 + 24 + 36 + 48 + 72 + 144 = 403
그런데 문제는
초등학생이 이렇게 구하면 그러려니 하겠지만
중학생, 고등학생이 이렇게 구하면 많이 없어(?) 보인다는 것입니다. ㅎ
그럼 좀 있어(?) 보이게 풀어볼께요
먼저 144를 소인수분해 합니다.

2가 4개 있고, 3이 2개 있는데
약수의 개수는 지수에 1씩 더하고 서로 곱해서 구하면 되고
(4+1)(2+1)=15
약수의 총합은 요렇게 써서 구하면 됩니다.

사실 요렇게만 써놓으면
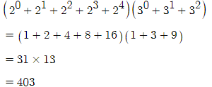
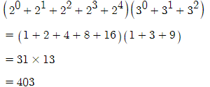
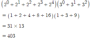
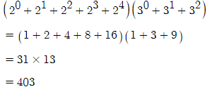
( 1 + 2 + 4 + 8 + 16 )( 1 + 3 + 9 )
약수, 약수의 개수, 약수의 총합이 모두 나옵니다.
약수는
전개하면 15개가 모두 나오고
( 1 + 2 + 4 + 8 + 16 )( 1 + 3 + 9 )
= ( 1 + 2 + 4 + 8 + 16 ) + ( 3 + 6 + 12 + 24 + 48 ) + ( 9 + 18 + 36 + 72 + 144 )
약수의 개수는
앞에 항이 5개, 뒤에 항이 3개가 있으니까
전개해서 나오는 항의 개수 5 x 3 = 15개가 약수의 개수가 됩니다.
사실, 약수의 개수 구하는 공식도 여기서 나온 것입니다.
약수의 총합은
걍 계산하면 되구요
( 1 + 2 + 4 + 8 + 16 )( 1 + 3 + 9 ) = 31 x 13 = 403
문제1)

약수의 개수는
(3+1)(2+1)=12개
약수의 총합은

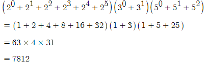
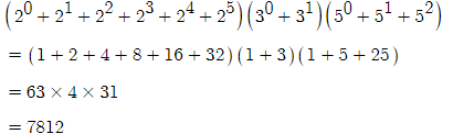
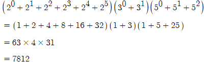
문제2)

세 개가 있어도 개념과 구하는 방식은 똑같습니다.
약수의 개수는
(4+1)(1+1)(2+1)=30개
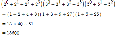
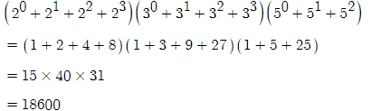
약수의 총합은

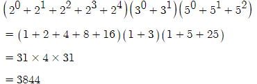
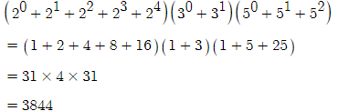
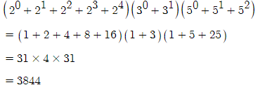
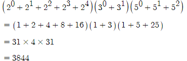
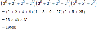
문제3)

약수의 개수는
(4+1)(2+1)(1+1)=30개
이렇게 풀면 안돼요~
6은 소수가 아니니까
주어진 식은 소인수분해가 아닙니다.
제대로 소인수분해를 하면 요렇게 됩니다.

이제 구해보면
약수의 개수는
(5+1)(1+1)(2+1)=36개
약수의 총합은

문제4)

제대로 소인수분해를 해주면

약수의 개수는
(3+1)(3+1)(2+1)=48개
약수의 총합은

요기로 가면 → www.gajok.co.kr/math.html
다른 글들도 편리하게 볼 수 있습니다.
