이항분포란..?
교과서에 나와 있는 그대로 한번 적어볼께요
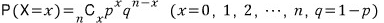
한 번의 시행에서 사건 A가 일어날 확률이 p로 일정할 때
n번의 독립시행에서
사건 A가 일어나는 횟수를 X라 하면
확률변수 X가 가질 수 있는 값은 0, 1, 2, ..., n이고
그 확률질량함수는 다음과 같다.

이와 같은 확률분포를 이항분포라 하고
기호로 B(n, p)와 같이 나타낸다.
독립시행이니 확률변수니 확률질량함수니
뭐... 대단한 거 적어놓은 것 같지만
쉽게(?) 이해할 수 있는 내용입니다. ;;;;;
이제 한번 이해해 볼까요
주사위를 10번 던지는 경우를 예로 들어보겠슴다.
(한 번의 시행에서 사건 A가 일어날 확률이 p로 일정할 때)
주사위를 한 번 던질 때 1이 나올 확률은 1/6로 일정합니다.
(n번의 독립시행에서)
앞에 던진 주사위가 1이 나왔든 말든
지금 내가 주사위를 던져 1이 나올 확률은 1/6입니다. 즉
첫번째 주사위를 던져도 1이 나올 확률은 1/6
두번째 주사위를 던져도 1이 나올 확률은 1/6 ← 첫번째 주사위가 1이 나왔든 말든
세번째 주사위를 던져도 1이 나올 확률은 1/6 ← 첫번째, 두번째 주사위가 1이 나왔든 말든
네번째 주사위를 던져도 1이 나올 확률은 1/6 ← 첫번째,두번째, 세번째 주사위가 1이 나왔든 말든
......
감이 오나요..?!
여기서 중요한 것은
확률이 일정하다는 것이 아니라
사건이 일어날 확률이 이전의 시행에 영향을 받지 않는다는 것입니다..!!
확실하게 하기 위해서
동전 1개와 주사위 1개를 던지는 경우를 생각해보면
동전을 던져서 앞면이 나왔든 뒷면이 나왔든
주사위를 던져 1이 나올 확률은 1/6
동전을 던지는 사건은
주사위를 던지는 사건에 전혀 영향을 미치지 않는다는 거..!!
물론 반대로
주사위를 던지는 사건도
동전을 던지는 사건에 전혀 영향을 미치지 않습니다.
이 때, 우리는
동전을 던지는 사건과 주사위를 던지는 사건을 서로 독립이다.
라고 말합니다.
따라서
주사위를 10번 던진다라는 말을 좀 있어보이게 말하면
10번의 독립시행에서..!!가 되는 것입니다.
(사건 A가 일어나는 횟수를 X라 하면
확률변수 X가 가질 수 있는 값은 0, 1, 2, ..., n이고)
주사위를 10번 던져 1이 나오는 사건이 일어나는 횟수는
당연히 0번, 1번, 2번, ..., 10번입니다.
(그 확률질량함수는 다음과 같다.)

각각의 확률은 '이항분포 (1)' 참고요~
(이와 같은 확률분포를 이항분포라 하고
기호로 B(n, p)와 같이 나타낸다.)
주사위를 10번 던져서 1이 나오는 사건이 일어나는 횟수에 대한 확률분포는 이항분포를 이루고

처음에도 말했다시피
이항분포..!! 별 거 아닙니다. 동의하죠..?! ;;;;;
그럼 이제
주사위를 10번 던져서 1이 나오는 횟수를 확률변수 X로 놓고
확률분포표를 만들어 보겠습니다.

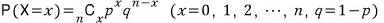
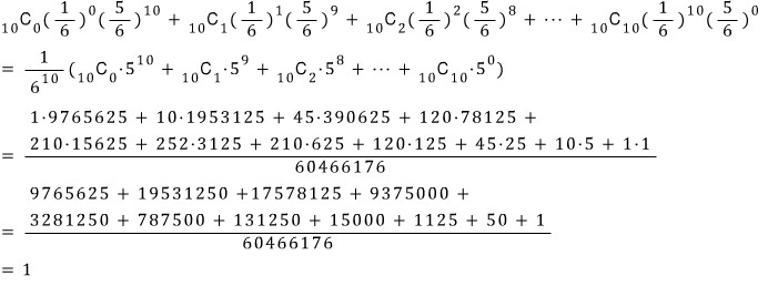
확률의 합이 1이 되는지 확인해 볼까요

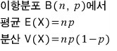
평균을 구해보면

분산을 구해보면

궁금해서 1시간 넘게 계산기를 두드려 봤는데
결과가 나오긴 나오네요 ;;;;;
이제 제대로 풀어보겠습니다.

확인해 볼까요

이 간단한 걸 뭐하러 1시간 넘게 계산기를 두드렸냐구요..?
음... 글쎄요... ;;;;;
이항분포에서 평균, 분산, 표준편차를 구하는 것도 중요하지만
더 중요한 내용이 있습니다.
이 글의 목적이자 결론입니다.

반대로도... 이런 확률분포표를 보면

한번 연습해 볼까요

이런 확률분포표를 보고 이항분포를 써보면

눈에 팍팍 들어오죠..?! ;;;;;
PS.
공식 몇 개 만들어 볼께요 (단, q=1-p)

먼저... 확률의 합은 1

너무 신경쓰지 마세요~
여러분의 수준높은(?) 이해를 위해서
걍 한번 적어 본 거니까요
이딴 거 나온 수학책..?
한 번도 본 적이 없어요~ ^-^//
요기로 가면 → www.gajok.co.kr/math.html
다른 글들도 편리하게 볼 수 있습니다.
