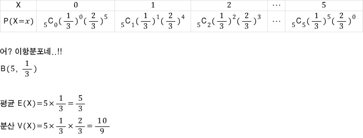
문제1)
아래 확률분포표에 나타난 확률변수 X의 평균과 분산은?

심심하니까(?) 한번 확인해 볼까요~
먼저
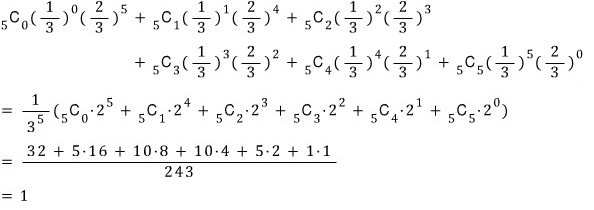
확률의 합이 1인 걸 확인해보면

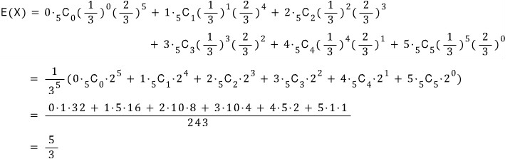
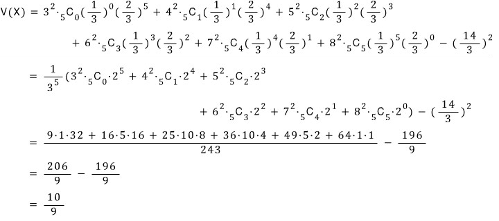
다음은 평균

앞에서 구했던 평균과 값이 같습니다.
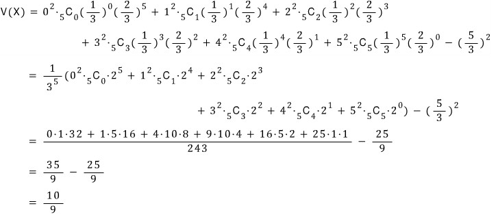
다음은 분산

역시, 앞에서 구했던 분산과 값이 같습니다.
음... 여기까지 복습인 거 다 알죠..?! ;;;;;
이해가 안 되면 얼른 '이항분포 (2)' 고고~
문제2)
아래 확률분포표에 나타난 확률변수 X의 평균과 분산은?

어라..?!
우리가 원하는 건 이렇게 생긴 표인데

그럼
가운데에 억지고 구겨넣죠... 뭐... 요렇게

대신에
우리가 구하려는 평균과 분산은
확률변수 X의 평균과 분산이 아니라
확률변수 Y의 평균과 분산이 됩니다..!!
그리고
확률변수 X와 확률변수 Y 사이의 관계식은
Y=X+3
사전준비 끝..!!
이제 답을 구해볼까요
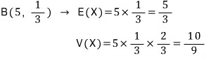
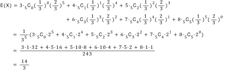
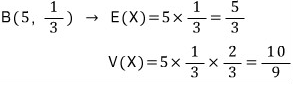
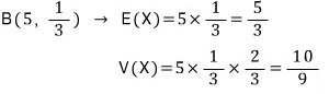
확률변수 X는
이항분포이고 평균과 분산은

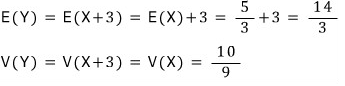
그러므로
확률변수 Y의 평균과 분산은

우리는 또 확인해 봐야겠죠..?!

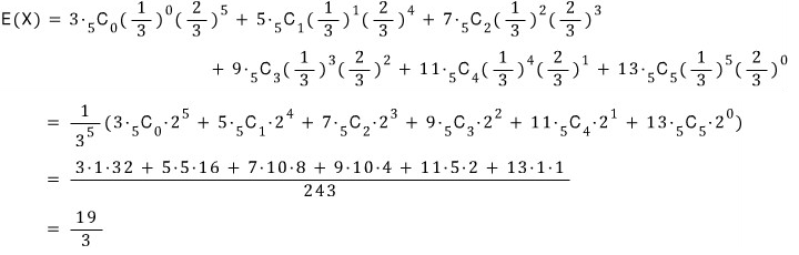
먼저, 평균

앞에서 구했던 평균과 값이 같습니다.
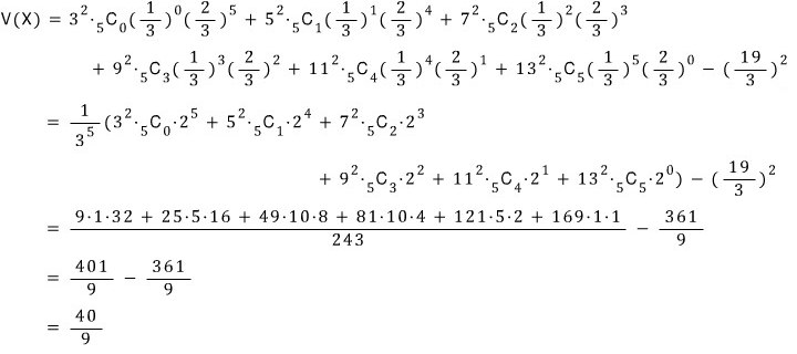
다음은 분산

역시, 앞에서 구했던 분산과 값이 같습니다.
그냥 끝내기 아쉬우니까
하나만 더 하고 끝낼께요~ ;;;;;
문제3)
아래 확률분포표에 나타난 확률변수 X의 평균과 분산은?

일단, 가운데에 확률변수 X를 구겨넣고

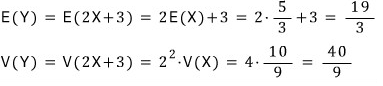
확률변수 X와 확률변수 Y 사이의 관계식을 구하면
Y=2X+3
이제부터의 풀이는 문제2와 똑같습니다.
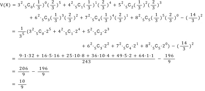
확률변수 X는
이항분포이고 평균과 분산은

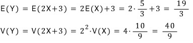
그러므로
확률변수 Y의 평균과 분산은

우리는 또또 확인해 봐야겠죠..?!

먼저, 평균

앞에서 구했던 평균과 값이 같습니다.
다음은 분산

역시, 앞에서 구했던 분산과 값이 같습니다.
이렇게 하나하나 계산기 두드려서
평균과 분산을 구한 문제집 보신 분~ 손..!!
아마 없을 걸요..?! ^-^// ;;;;;
요기로 가면 → www.gajok.co.kr/math.html
다른 글들도 편리하게 볼 수 있습니다.
