문제1)


세 경우로 구분해서 풀었는데
('일차방정식의 해' 참고요~)

답안지에는 정리해서 이렇게 적으면 됩니다.

참고로, '해가 무수히 많다'는
아주 오래 전 제가 공부할 때 사용하던 표현입니다.
요즘은 이런 표현을 사용하지 않는 것 같슴다.
여러분은 '모든 실수'라고 적으세요~ ;;;;;
문제2)

문제1에서 등호만 살짝(?) 들어갔습니다.
그럼 답도 살짝(?) 바뀌겠죠..?!

역시 답안지에는 정리해서 이렇게 적으면 됩니다.

문제3)

결과만 적을께요
여러분이 확인해 보세요~

문제4)

역시 결과만 적습니다.

문제5)

뭐... 똑같이 쓰면 되죠... ;;;;;

답안지에는 정리해서 나와 있죠. 요렇게

고등학교 수학문제는 대부분
방정식과 마찬가지로 부등식 역시
언제 (어떤 조건일 때) 해가 없고
언제 (어떤 조건일 때) 해가 무수히 많냐..?를 물어보지
걍 해를 구하라는 문제는 거의 안 나옵니다.

이런 식입니다.
얘기가 나온 김에 나머지(?)도 풀어볼까요?

머리 아프죠..?! ;;;;; 화이팅하세요~
문제6)

이런 문제는 잘 안 나오는데
억지로 한번 만들어 봤슴다. ;;;;;

정리하면

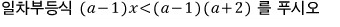
문제7)

말씀드렸다시피
문제6은 억지로 만든 문제고
수학문제는 이런
문제7과 같은 형태로 나옵니다.
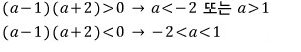
한번 풀어볼까요~

답을 정리하기 전에
(이차부등식의 풀이는 '이차부등식의 해 (1)' 참고요~)

이제 답을 정리하면

문제는 이런 식으로 나오죠

일차방정식도 머리 아팠는데
일차부등식은 더 하죠..?! ;;;;; 근데요...

'해가 없다', '해가 무수히 많다'는
a=0 일 때, 발생하는 상황입니다..!!
그렇게 때문에 일단
x의 계수를 0으로 만들어 놓고 생각하면 머리가 덜 아픕니다~ ^-^//
▶ 수학 전체 목록 바로가기 → www.gajok.co.kr/math.html
'수학' 카테고리의 다른 글
| 일차부등식의 해 (3) (0) | 2020.12.02 |
|---|---|
| 일차부등식의 해 (2) (0) | 2020.11.30 |
| 일차방정식의 해 (0) | 2020.11.24 |
| 두 점 사이의 거리 (5) (0) | 2020.11.20 |
| 두 점 사이의 거리 (4) (0) | 2020.11.18 |