
이차부등식 끄읏~~ 했으면 좋겠는데
이차부등식이 그케 간단치가 않습니다. ㅠ
이제부터
하나하나 차근차근 풀어볼께요~
여러분은
이차부등식을 어케 푸시는지...
위에서 푼 것처럼
일단 인수분해하고
0보다 작으면 → 두 근 사이

0보다 크면 → (작은 근보다 작거나) 또는 (큰 근보다 크거나)

가장 무난한 방법이고
대부분의 학생들이 이렇게 푸는 것 같습니다.
그런데 이차부등식이
근은 존재하는데 인수분해가 안되면?
또, 이차부등식이 아예
근이 존재하지 않으면?
이 지점에서
이차부등식이 갑자기(?) 머리 아파집니다.
이런 문제들을 푸는 방법이
몇 가지 있지만
다 생략하고
그래프를 이용해서 풀어보겠습니다.
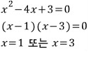
다시 처음 문제로 돌아가서

좌변의 이차식을 이차함수로 생각하고

x절편을 일단 구합니다.
꼭지점, y절편은 관심없습니다. 여기서 필요한 건 x절편 뿐..!!
x절편
어케 구하는지 알죠..?!
y에 0을 대입하고 풀면

이제 그래프를 그립니다. 요렇게

이제 문제를 풀어보면

그래프를 보면 답이 딱 보이죠..?!
('그래프 읽기' 참고요~)
이해는 여러분 몫이구요
저는 계속 고고합니다~ ;;;;;
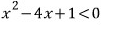
이번에는
근은 존재하는데
인수분해가 되지 않는 이차부등식

한번 풀어볼까요
x절편을 구해보면

그래프를 그려보면

쉽죠..?!
이걸 이렇게 안 풀고
완전제곱식으로 고쳐서 풀기도 하는데

별로 권하지는 않습니다.
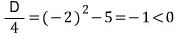
이번에는 아예
근이 존재하지 않는 이차부등식

한번 풀어보겠습니다.
음... 판별식이 0보다 작네요

그럼 근이 없다는 소리고
다시 말해... x축과 만나지 않는다는 거..!!
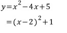
그럼 그래프는 이렇게 그려지겠죠

굳이 불안하면(?)
꼭지점을 구해서 그려도 됩니다.

꼭지점의 좌표는 (2, 1)

암튼, 중요한 건
x축과 만나지 않는다는 거..!!
문제를 풀어 보면

정리해 보면

두 부등식 모두
인수분해가 되지 않지만

어케 구분하죠?
이차방정식으로 생각하면

아래의 경우는
여러분이 생각해 보세요~


PS.
이차부등식과는 관계가 없지만
비스무리한 절댓값 풀이..!!

이걸 양변 제곱해서
푸는 학생들이 많이 있습니다.

이케 푸는 건 이제 그만~ !!
여기까지요~ ^-^//
▶ 수학 전체 목록 바로가기 → www.gajok.co.kr/math.html
'수학' 카테고리의 다른 글
| 무연근 (0) | 2020.07.14 |
|---|---|
| 이차부등식의 해 (2) (0) | 2020.06.23 |
| 그래프 읽기 (1) (0) | 2020.06.01 |
| 반원의 방정식 (0) | 2020.05.26 |
| 등비수열 (1) (0) | 2020.05.19 |