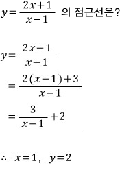
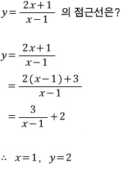
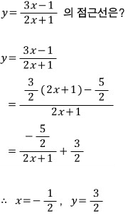
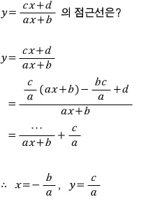
문제1)

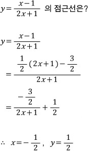
문제2)

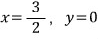
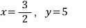
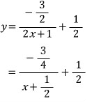
문제3)

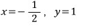
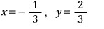
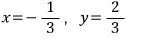
정리하면
문제4)

b는 신경 안 써도 돼요~
------------------------------------------------
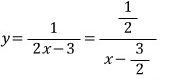
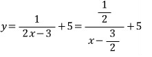
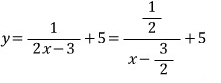
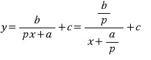
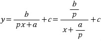
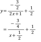
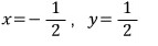
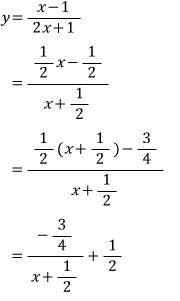
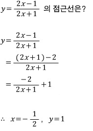
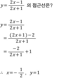
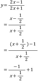
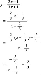
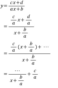
문제5)

좀 이상하면
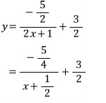
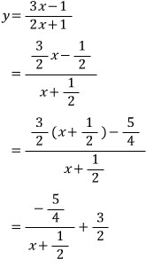
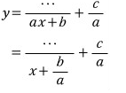
식을 이렇게 바꿔도 됩니다.

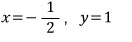
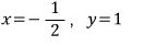
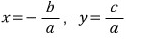
그래서

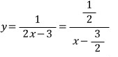
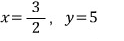
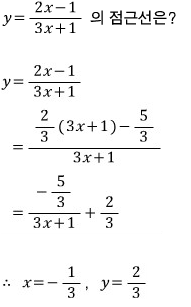
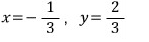
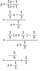
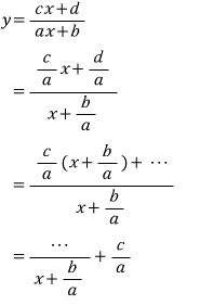
문제6)

좀 이상하면
식을 이렇게 바꿔도 됩니다.

그래서

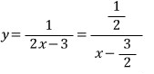
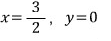
문제7)

좀 이상하면
식을 이렇게 바꿔도 됩니다.

그래서

정리하면
문제8)

좀 이상하면
식을 이렇게 바꿔도 됩니다.

그래서

역시 b는
점근선과 아무런 상관이 없습니다~
------------------------------------------------
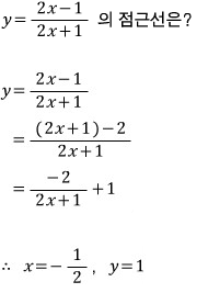
문제9)

문제10)

좀 이상하면
식을 이렇게 바꿔도 됩니다.

그래서

아니면 처음부터
식을 바꿔놓고 시작해도 됩니다.

좀 번거롭나요..?! ;;;;;
암튼 결과는 같습니다.
문제11)

좀 이상하면
식을 이렇게 바꿔도 됩니다.

그래서

아니면 처음부터
식을 바꿔놓고 시작해도 됩니다.

역시 좀 번거롭습니다.
선택은 여러분이... ;;;;;
문제12)

좀 이상하면
식을 이렇게 바꿔도 됩니다.

그래서

아니면 처음부터
식을 바꿔놓고 시작해도 됩니다.

역시 같은 결과입니다.
문제13)

좀 이상하면
식을 이렇게 바꿔도 됩니다.

그래서

아니면 처음부터
식을 바꿔놓고 시작해도 됩니다.

역시 같은 결과입니다.
정리하면
문제14)

좀 이상하면
식을 이렇게 바꿔도 됩니다.

그래서

아니면 처음부터
식을 바꿔놓고 시작해도 됩니다.

역시 같은 결과입니다.
식은 복잡해 보이지만
결론은 간단합니다.

확인해 보겠습니다~
문제9에서

문제10에서

문제11에서

문제12에서

문제13에서

바로바로 눈에 들어오죠..?! ;;;;;
이런 문제는 본 적이 없는데
그래도 혹시나...
문제15)

굳이 공식을 만들어보면

여기까지요~ ^-^//
요기로 가면 → www.gajok.co.kr/math.html
다른 글들도 편리하게 볼 수 있습니다.

'수학' 카테고리의 다른 글
| 도형 읽고 그리기 (0) | 2021.02.08 |
|---|---|
| 유리함수 (2) (0) | 2021.02.04 |
| 이차식의 최대최소 (3) (0) | 2021.01.28 |
| 이차식의 최대최소 (2) (0) | 2021.01.25 |
| 이차식의 최대최소 (1) (0) | 2021.01.21 |