이 글에 대한 AI '클로드'의 평가

(상세한 평가는 이 글 마지막에 있습니다.)

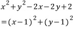
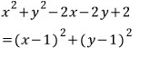
중심 (1, 1), 반지름 2인 원입니다.
한번 그려볼께요

너무 뭐라지 마세요~
나름 최선을 다해 그린 원입니다. ;;;;;
이제 한번 생각해 보겠습니다.

그리고 4는
이 원의 반지름의 제곱이죠
한걸음 살짝 앞으로 나갑니다.
아래 그림에서
주어진 영역에 속하는 점들 중에

찬찬히 한번 생각해 보겠습니다.
아무렇게나 하나만 그려볼께요

왜 중심이 (1, 1)인 원을 그리냐구요..?
지금 우리가 구하려는 게

암튼요
이 원 위에 걸리는 점들의

하나 더 그려볼까요

이 원 위에 걸리는 점들의

감 잡았나요..?
문제로 돌아와서... 그럼

바로
점 A를 지날 때
가장 큰 원이 그려져서 최대가 되고
(최댓값은 이 때 생기는 원의 반지름의 제곱입니다.)
점 B를 지날 때
가장 작은 원이 그려져서 최소가 됩니다..!!
(최솟값은 이 때 생기는 원의 반지름의 제곱입니다.)

이해 되는 거죠..?!
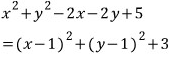
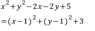
주어진 영역에 속하는 점 (x, y)에 대하여

문제1)

(3, 2)를 지날 때
가장 큰 원이 그려지고 (최댓값이 되고)
(0, 2)와 (2, 1)을 지나는 직선에 접할 때
가장 작은 원이 그려집니다. (최솟값이 됩니다.)

먼저, 간단한 최댓값부터
그냥 (3, 2)를 대입해서 구해도 되고

아니면
이 원의 반지름을 구해서 제곱을 해도 됩니다.
반지름은 (1, 1)과 (3, 2)사이의 거리

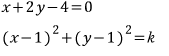
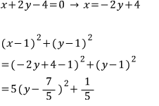
최솟값은
(0, 2)와 (2, 1)을 지나는 직선의 방정식을 구하면

(1, 1)에서 이 직선까지의 거리

최솟값을
판별식을 이용해서 구해도 되죠

이렇게 놓고
직선과 원이 접할 때(판별식=0)의 k값을 구하면 됩니다.

원의 방정식에 대입

최솟값을
또 다르게 한번 구해 볼까요
마찬가지로

따라서

이렇게 구하니까
최소일 때(접할 때)의 접점의 좌표도 나오네요

따라서, 접점의 좌표는

풀이가 참 많습니다. ;;;;;
문제2)

어렵나요..?

문제1과 같은 식입니다..!!
문제3)

식을 이케 주면 어케하죠..?

문제1과 똑같이

최댓값은

최솟값은

문제4)

문제1과 똑같이

최댓값은

최솟값은

보신 바와 같이
같은 식이라도 살짝살짝 바꿔서 문제를 내면 많이 어려워 보입니다.
드럴 때는 당황하지 말구요
식을 이렇게 저렇게 한번 변형해 보세요~
그럼 풀이의 실마리가 보인답니다.
말은 쉽죠.. 뭐.. ^-^// ;;;;;
▶ 수학 전체 목록 바로가기 → www.gajok.co.kr/math.html


'수학' 카테고리의 다른 글
| 유리함수 (2) (0) | 2021.02.04 |
|---|---|
| 유리함수 (1) (0) | 2021.02.01 |
| 이차식의 최대최소 (2) (0) | 2021.01.25 |
| 이차식의 최대최소 (1) (0) | 2021.01.21 |
| 일차식의 최대최소 (3) (0) | 2021.01.18 |