
한번 그려볼께요

이제 한번 생각해 보겠습니다.

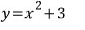
그리고 그 값은
바로 이 그래프의 y절편(또는 꼭지점의 y좌표)입니다..!!

너무 당연하지만
아주 중요한 말입니다..!!
한걸음 살짝 앞으로 나갑니다.
아래 그림에서
주어진 영역에 속하는 점들 중에

찬찬히 한번 생각해 보겠습니다.
일단

결국은
k의 최대 최소를 구하라는 의미입니다.

아무렇게나 하나만 그려볼께요

그럼
이 곡선 위에 걸리는 점들의

보이나요..? 바로 요기..!!

하나 더 그려볼까요

감 잡았나요..?
문제로 돌아와서... 그럼

바로
점 A를 지날 때, 최대가 되고
점 B를 지날 때, 최소가 됩니다..!!

나름 열심히 설명했는데
이해가 됐는지 모르겠네요
조금(?) 다른 거
2개나 더 해야 되는데... ;;;;;
주어진 영역에 속하는 점들 중에

문제는 똑같습니다.

자세한 설명은 생략임다. ;;;;;
위에서 한 것과 똑같이 바꾸고

그려보면

점 A를 지날 때, 최대
점 B를 지날 때, 최소..!! 보이죠..?!
바로 다음 문제로 넘어갑니다~
주어진 영역에 속하는 점들 중에

처음과 똑같이
점 A를 지날 때, 최대
점 B를 지날 때, 최소가 되는 건 맞긴 맞는데
k의 최대 최소가 아니라
-k의 최대 최소가 됩니다.
y절편(또는 꼭지점의 y좌표)이
k가 아니고 -k이니까요 (이해되죠..?!)

점 A를 지날 때, 최소
점 B를 지날 때, 최대입니다.
이해는 여러분의 몫입니다.
저는 막 넘어갑니다. ;;;;;
주어진 영역에 속하는 점 (x, y)에 대하여

문제1)

접할 때, 최댓값
(2, 0)을 지날 때, 최솟값

최댓값을 구해보면
(0, 0)과 (2, 1)을 지나는 직선의 방정식은

최솟값은
(2, 0)을 대입하기만 하면 됩니다.

문제2)

(2, 1)을 지날 때, 최댓값

(0, 0)을 지날 때, 최솟값

문제3)

문제1과 그림이 똑같습니다.
다만 최댓값, 최솟값이 바뀔 뿐..!!

이해가 안 되면
처음부터 다시 한번 읽어 보세요~
저는 계속 나갑니다. ;;;;;
암튼 그래서
접할 때, 최솟값
(2, 0)을 지날 때, 최댓값
최솟값을 구해보면
(0, 0)과 (2, 1)을 지나는 직선의 방정식은

최댓값은
(2, 0)을 대입하기만 하면 됩니다.

여기까지요~ ^-^//
요기로 가면 → www.gajok.co.kr/math.html
다른 글들도 편리하게 볼 수 있습니다.

'수학' 카테고리의 다른 글
| 이차식의 최대최소 (3) (0) | 2021.01.28 |
|---|---|
| 이차식의 최대최소 (2) (0) | 2021.01.25 |
| 일차식의 최대최소 (3) (0) | 2021.01.18 |
| 일차식의 최대최소 (2) (0) | 2021.01.14 |
| 일차식의 최대최소 (1) (0) | 2021.01.11 |