728x90
반응형
수학문제집을 보다 보면
가끔 한번씩 반원의 방정식이 등장합니다.
별 거 아닌데
딱히 설명해 주는 곳도 없고
많은 학생들이 어려워 하는 거 같아 잠깐 정리하겠습니다.
원의 방정식이야 잘 알죠

그리라고 하면
뭐... 이렇게 그리면 되죠. 간단합니다.

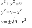
원의 방정식을 살짝 바꿔보겠습니다.

따로 써 볼까요

얘들이 바로 반원의 방정식입니다.

위에서 얘기했듯이
뭐... 별거 아닙니다.

이 식을 보면
중심: 원점(0, 0)
반지름: 3
이 보이죠?
물론 원의 윗쪽으로 반원입니다.
x로 식을 바꾸는 건
문제집에서 본 적이 없는데
그래도 기왕에 나온 김에
딱 한번만 할께요

역시 따로 써보면

뭔가 머리 속에 떠오르는 그림이 있나요?

연습해 볼까요

눈에 팍팍 들어오죠? 믿습니다. ;;;;;
아직 안 끝났습니다.
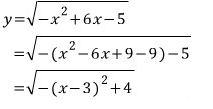
그럼 얘의 중심과 반지름은요?

얘는 완전히 다르다구요?
음... 그럼 완전제곱식으로 바꿔볼께요

이래도 안 보이나요?
그럼 4를 앞으로 옮길께요

앞에 나온 식과 똑같은 식입니다. ㅎ
못 본 식이 나왔다고 당황하지 말고
식을 이렇게저렇게 바꿔보세요~
그럼 뭔가 실마리가 보인답니다.
말은 쉽죠. 뭐... ;;;
마지막으로 하나 더

뒤에 +2는 뭐야?...하고
고민하고 있는 분은 안계시죠?
식을 직접 바꿔보세요
바로 이해가 될 거예용~

역시 여러분이 직접 바꿔보세요~
저는 여기서 끄읏~~~ ^-^//
▶ 수학 전체 목록 바로가기 → www.gajok.co.kr/math.html
728x90
반응형
'수학' 카테고리의 다른 글
| 이차부등식의 해 (1) (0) | 2020.06.08 |
|---|---|
| 그래프 읽기 (1) (0) | 2020.06.01 |
| 등비수열 (1) (0) | 2020.05.19 |
| 두 직선의 교점을 지나는 직선의 방정식 (2) (1) | 2020.05.08 |
| 두 직선의 교점을 지나는 직선의 방정식 (1) (0) | 2020.05.08 |