문제1)
x+y+2=0 과 2x-y-5=0 의 교점과
(2, 1)을 지나는 직선의 방정식을 구하시오
풀이1)
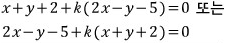
x+y+2=0 과 2x-y-5=0 의 교점을
지나는 직선의 방정식은

저는 첫번째 식으로 할께요
(2, 1)을 지난다고 했으니까
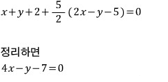
식에 대입해서 k값을 구하면

따라서
우리가 구하는 직선의 방정식은

풀이2)
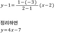
x+y+2=0 과 2x-y-5=0 의 교점을 구하면
(1, -3)
따라서
우리가 구하는 직선은
두 점 (1, -3)과 (2, 1)을 지나는 직선입니다.

풀이1의 답과 똑같습니다.
풀이1이 더 쉽나요? 풀이2가 더 쉽나요?
얼핏봐도 풀이2가 간단해 보이긴 합니다.
똑같은(?) 문제 한번 더 풀어볼께요
문제2)
x+y-1=0 과 x-2y+1=0 의 교점과
(2, 1)을 지나는 직선의 방정식을 구하시오
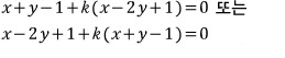
풀이1)
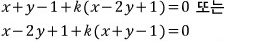
x+y-1=0 과 x-2y+1=0 의 교점을
지나는 직선의 방정식은

역시 저는 첫번째 식으로 할께요
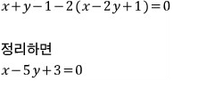
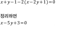
(2, 1)을 지난다고 했으니까
식에 대입해서 k값을 구하면

따라서
우리가 구하는 직선의 방정식은

풀이2)
x+y-1=0 과 x-2y+1=0 의 교점을 구하면

따라서
우리가 구하는 직선은

역시 풀이1의 답과 똑같습니다.
그런데
이번에는 풀이1이 좀 더 간단해 보이지 않나요?
제가 하고 싶은 말은...
두 직선의 교점이 간단하게 나오면
교점을 구하는 방식(풀이2)이 좀 더 편리하고
두 직선의 교점이 간단하게 나오지 않으면
k값을 구하는 방식(풀이1)이 좀 더 편리하다는 말씀..!!
에이... 이것저것 따지기 귀찮나요?
그럼 걍 k값을 구하는 방식(풀이1)으로 푸세요~
대부분의 문제집도 풀이1로 풀어놨거든요
한가지 덧붙이면...
x+y-1=0 과 mx-y+2m+3=0 의 교점을 지나고
어쩌고 저쩌고 하는 문제가 나오면
x+y-1+k(mx-y+2m+3)=0 와 같이
미지수 k와 m이 서로 엮이게 놓은 것보다는
mx-y+2m+3+k(x+y-1)=0 요렇게
미지수 k와 m을 서로 떨어뜨리는 게
문제푸는데 있어서
훨씬 편하지 않을까 합니다~ ^-^//
요기로 가면 → www.gajok.co.kr/math.html
다른 글들도 편리하게 볼 수 있습니다.

'수학' 카테고리의 다른 글
| 등비수열 (1) (0) | 2020.05.19 |
|---|---|
| 두 직선의 교점을 지나는 직선의 방정식 (2) (1) | 2020.05.08 |
| 접선의 방정식 (2) (0) | 2019.06.24 |
| 음함수의 미분 (0) | 2019.06.19 |
| 접선의 방정식 (1) (0) | 2019.06.17 |