
이렇게 되냐?고
k는 또 뭐냐?고
끈질기게(?) 묻는 학생들이 있습니다.
걍 그러려니 하고 외우면 되는데... ㅎ
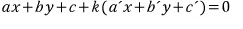
교점의 좌표를 (p, q)로 놓으면

이 점 (p, q)는

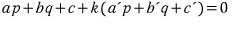
그럼 이제 (p, q)를

여따가 한번 대입해 볼까요
왜냐구요? 기냥요.. ;;;;;
암튼 대입해 보면

근데 위에서

이렇게 돼서 무조건 성립합니다.
k값에 관계없이..!! (k에 어떤 값이 와도)
k값에 관계없이

이건 뭘 의미하죠?
결론입니다.

좀 자세히(?) 말해 보면

이제 거꾸로 말해 보면

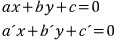
두 직선의 교점을 지나는 직선의 방정식은

물론 두 직선을 바꿔써도 아무런 상관이 없습니다.

간단하게(?)
k값에 대해서도 이야기 해보면
k값이 다르면
당연히 서로 다른 직선이 됩니다.
하지만 그 직선들도 무조건

두 직선의 교점을 지납니다. 요렇게

두 직선의 교점을 지날 수밖에 없습니다.
태생적으로
어찌보면 당연한 소린데
이걸 글로 쓰려니 쉽지가 않네요. ;;;;;
암튼 저의 설명의 여기까지입니다.
수학공부 하다보면
똑같은 개념이 또 등장하죠 ㅠ

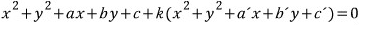
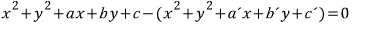
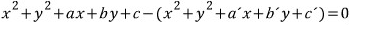
두 원의 교점을 지나는 원의 방정식은

특수한 경우로 k가 -1일 때는
두 원의 교점을 지나는 직선의 방정식 (다른 말로 공통현의 방정식)


두 평면의 교선을 지나는(포함하는) 평면의 방정식은

평면의 방정식은 교육과정에서 빠진 거 같은데
암튼...
두 직선의 교점을 지나는
두 원의 교점을 지나는
두 평면의 교선을 지나는
모두모두 같은 개념입니다~ ^-^//
요기로 가면 → www.gajok.co.kr/math.html
다른 글들도 편리하게 볼 수 있습니다.

'수학' 카테고리의 다른 글
| 반원의 방정식 (0) | 2020.05.26 |
|---|---|
| 등비수열 (1) (0) | 2020.05.19 |
| 두 직선의 교점을 지나는 직선의 방정식 (1) (0) | 2020.05.08 |
| 접선의 방정식 (2) (0) | 2019.06.24 |
| 음함수의 미분 (0) | 2019.06.19 |