
숫자는 2와 3, 두 개가 있습니다.
작은 수를 앞에, 큰 수를 뒤에 쓰면 됩니다.
다시 말해

문자가 들어가도 마찬가지

뭐... 얼마든지 만들 수 있죠

이것만 기억하면 됩니다.
간단하죠..?!
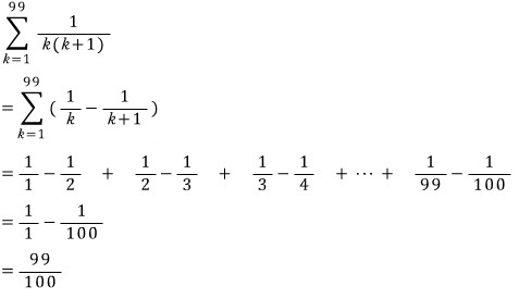
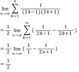
문제1)

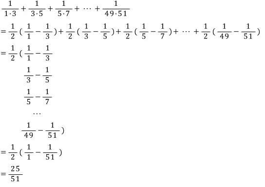
식을 밑으로 쓰면
사라지는 숫자들이 잘 보입니다.

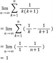
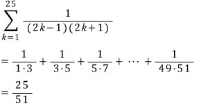
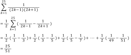
어려운(?) 문제 하나 풀어볼까요
문제2)

이걸 이렇게 바꿔서 풀 수 있겠죠..?! ;;;;;

문제3)

첨부터 바꿔놓고 풀어도 되죠

이케 푸나 저케 푸나 똑같습니다.
맘에 드는 걸로 푸세요~
문제4)

문제5)

시그마가 들어가든, 리미트가 들어가든
어찌됐든 똑같은 문제입니다.
일단 요정도만 하고
다음 단계로 넘어갑니다~
------------------------------------------------------------------------------------------------------------

이렇게 바꾸긴 했는데
좌변과 우변의 값이 다릅니다. ㅠ
이제는 한가지 더
고려해야 할 것이 있습니다.
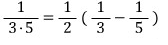
위에서는
2와 3, k와 (k-1), (k+1)과 (k+2) 등등
작은 수와 큰 수의 차가 1이여서
신경을 안 썼는데 (수학에서 '차'는 (큰 수 - 작은 수)입니다. 즉, 차는 양수)
지금과 같이 차가 1이 아닐 때는
신경을 써야 합니다.
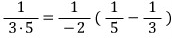
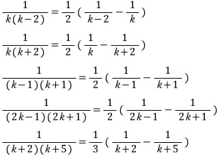
3과 5의 차는 2이기 때문에
앞에 2를 써줘야 합니다. 요렇게

그래야
좌변과 우변의 값이 같아집니다.
그럼 이제
앞의 공식(?)을 바꾸겠습니다.

참고로
아래와 같이 쓰기도 하는데 결코 권하지는 않습니다.

진짜 참고만 하세요~
아래 식이
교과서에 나와 있는 공식입니다.

A가 크든, B가 크든
관계없이 성립하는 공식이지만
가능하면... 아니 무조건
A에 작은 수, B에 큰 수를 대입하세요..!!
모든 교과서와 문제지에서는 이렇게 바꾸거든요

이렇게 바꾼 건 본 적이 없어요~

헷갈리죠..?! 위의 이야기는 다 잊고
아래 예만 봐도 금방 이해가 될 거예요~
이렇게 바꿔도 되지만

이렇게 바꿔도 됩니다.
이렇게 바꿀 일이 있을 지는 모르겠지만...

문자로 연습해보면

문제6)

문제7)

마찬가지로
미리 식을 바꿔 놓고 풀어도 되구요

문제8)

문제9)

문제10)

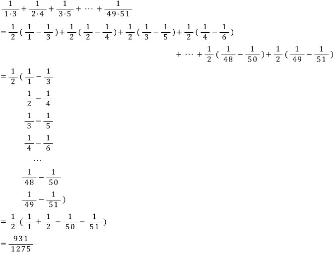
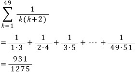
에궁...
문제를 어케 만들다보니 답이 좀... 암튼
답도 중요하지만
다 지워지고
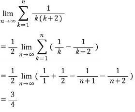
앞에서 2개의 항

뒤에서 2개의 항

만 살아남는 걸 꼭 확인하세요~
문제11)

식을 미리 바꿔서 풀면

문제12)

문제13)

PS1.
이건 이렇게 바꿨는데

분자에 1이 아닌 수가 오면..?
그냥 앞에 갖다 쓰면 됩니다. 요렇게..!!

PS2.
가끔 루트가 등장하기도 하는데
뭐... 다르지 않습니다.

▶ 수학 전체 목록 바로가기 → www.gajok.co.kr/math.html
'수학' 카테고리의 다른 글
| 분수식의 변형 (3) (0) | 2021.06.06 |
|---|---|
| 분수식의 변형 (2) (0) | 2021.05.30 |
| 식의 값 (2) (0) | 2021.05.17 |
| 식의 값 (1) (0) | 2021.05.10 |
| 번분수 (0) | 2021.05.03 |