혹시 모르니까
사전준비 두어개 하고 갈께요~


됐습니다. 이제 본론으로~
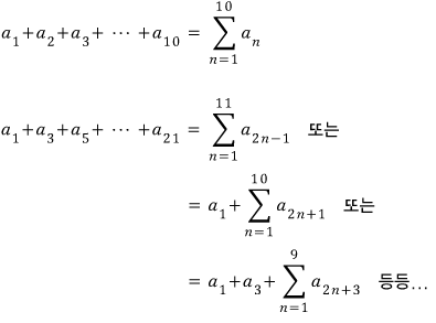
문제1)

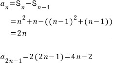
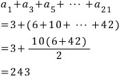
일반항은

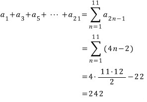
따라서

좀 복잡하게(?) 풀었지만
사실 일반항만 있으면 문제가 풀립니다. 이렇게요

설마... 이 시점에서 항의 개수를 못 구한다거나
등차수열의 합 공식이 가물가물 한 건 아니죠..?! ;;;;;
암튼... 이 풀이가 더 편한 건 사실입니다.
근데 왜 처음엔 이상하게(?) 풀었냐구요..? 그러게요 ㅠ
풀이방법의 선택은 여러분의 몫입니다.
문제2)

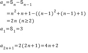
일반항은

왜 문제1과 풀이가 다르냐구요..?
'일반항 (3)' 참고요~
지금은 이게 문제가 아니고

첫째항이 따로 놀기 때문에
첫째항은 제껴놓고 계산해야 합니다. 요렇게요

참 깔끔한 풀이인데
이렇게 풀어놓은 문제집은 본 적이 없는 것 같습니다.
이해가 살짝 힘들어서 그런가요..?! ;;;;;
암튼
대부분의 문제집은 이렇게 풀어놓았습니다.

아니면... 요렇게

역시
풀이방법의 선택은 여러분의 몫입니다.
PS1.

첫째항이 포함되어 있지 않은 문제는

그냥 일반항만 구해서 문제를 풀면 된다는 거..!!
첫째항이 따로 놀든말든
답에는 아무런 지장이 없거든요
물론 서술형이라면
첫째항 구하는 과정도 써줘야겠지만요
PS2.

첫째항을 신경쓰지 않아도 되는 문제가 또 있죠..?!
극한값 문제에서요

그냥 일반항만 구해서
문제를 풀면 됩니다. 요렇게요

첫째항이 따로 놀든말든
아무런 상관이 없습니다.
n이 무한대로 가는데
감히 첫째항 따위(?)가 영향을 미칠 리가 없잖아요..?! ;;;;;
물론 서술형이라면
첫째항 구하는 과정도 정확히 다 써줘야 된다는 거..!!
잊으면 안돼요~ ^-^//
요기로 가면 → www.gajok.co.kr/math.html
다른 글들도 편리하게 볼 수 있습니다.
