
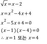
이거 어케 풀죠?
양변 제곱..!!

이렇게 끝났으면 좋겠는데
문제가 발생합니다.
처음 방정식에

4를 대입하면 → 2=2
방정식이 성립하지만
1을 대입하면 → 1≠-1
방정식이 성립하지 않습니다.
따라서, 답안지에는
1과 4를 모두 쓰면 안되고
4만 써야 합니다..!!
문제를 열심히 풀어서 답이 나왔는데
이와 같이 엉터리답(가짜답)이 나오는 경우가 있습니다.
이 가짜답을
무연근이라고 부릅니다.
무연근이 생기는 이유는 몇가지가 있지만
여기서는 양변을 제곱했기 때문입니다.
A=B 를 풀어야 하는데
제곱해서

이렇게 풀면
처음에 풀려던
A=B 뿐만 아니라
의도치 않았던
A=-B 가 따라 나옵니다.
따라서, 답을 쓸 때는
A=-B 는 버리고
A=B 만 써야하는 것입니다.
잠깐 옆으로 새서

따라서, 교점의 좌표는
(1, 1)과 (2, 4)
그럼 이 문제는...

1은 성립하지 않으니까 (무연근이니까) 버리고
x=4
따라서, 교점의 좌표는
(4, 2)
이렇게 풀면 되는데... 문제는
현 교육과정에서는
무연근이란 용어 자체가 등장하지 않기 때문에
이런 풀이를 문제집에서 볼 수가 없다는 것입니다.
그래서 풀이집을 보면
식은 똑같이 풀어놓고

무연근은
그림(그래프)으로 설명합니다.

그래프를 그려보면
1은 성립하지 않는다.
따라서, 교점의 좌표는
(4, 2)이다. 라고...
이런 풀이가
안좋다거나 잘못됐다는 의미가 아닙니다.
이런 무연근의 문제가 발생하므로
그래프를 그려서 확인하는 것도 좋은 방법입니다.
저는 다만
그래프를 그리지 않고도 간단히(?) 풀 수 있다
라는 말하고 싶을 뿐... ;;;;;
암튼
방정식을 제곱해서 풀 때는
무연근을 항상 조심하세요~
그리고
제곱해서 풀었다고해서
무연근이 반드시 나오는 건 아닙니다.
나올 수도 있고...
나오지 않을 수도 있고...
---------------------------------------------------------------
무연근은
유리방정식(분수방정식)에서도 등장합니다.

양변에 (x-1)(x-2) 를 곱하면

그런데 x=2 는
분모를 0 으로 만들기 때문에 무연근입니다.
따라서, 답안지에는 -1 만 써야 합니다.
여기에서 무연근이 생기는 이유는

양변에 C를 곱해줘서

이렇게 풀면
처음에 풀려던

의도치 않았던
C=0 이 따라 나오기 때문입니다.
따라서, 답을 쓸 때는
C=0 은 버리고 써야하는 것입니다.
우리가 방정식에서
양변에 어떤 수를 곱할 때는
곱하는 그 수가 0 이 아니라는 가정하에 곱해주는 것입니다.
위에서 x=2 는
분모를 0 으로 만들기 때문에 무연근이라고 했지만
개념대로 정확히 말하면 (같은 말이지만)
x=2 는
곱한 식 (x-1)(x-2) 가 0 이 되기 때문에 무연근인 것입니다.
---------------------------------------------------------------
무연근은 또
로그방정식에서도 등장합니다.

그런데 x=-4 일 때
진수 (x-1) 이 음수가 되기 때문에
다시 말해
x=-4 에서 정의가 되지 않기 때문에
x=-4 는 무연근입니다.
따라서, 답은 x=2
여기서는 딱히 더 이야기할 게 없네요... ;;;;;
---------------------------------------------------------------
마지막으로...
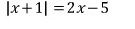
절댓값이 들어있는 방정식에서도
무연근이 등장하는 경우가 있습니다.
이야기를 시작하기 전에
먼저 사전준비..!!
x가 양수이건 음수이건 상관없이

따라서, ㅣx+1ㅣ 을 제곱하라고 하면
그냥 이렇게 하면 됩니다.

이제 문제 풀어볼께요~

어김없이(?) 문제가 발생합니다.
처음 방정식에

6을 대입하면 → 7=7
방정식이 성립하지만

따라서, 답안지에는
4/3는 버리고
6만 써야 합니다!!
그런데...

이 문제를 위와 같이
양변을 제곱해서 푸는 문제집은 거의 없습니다.
위에서도 말씀드렸다시피
현 교육과정에서는 무연근이란 개념이 없기 때문입니다.
그렇기 때문에
여러분은 제곱해서 풀면 안되고
이렇게 풀어야 합니다. 서술형이라면..!!
'절댓값 (1)' 문제3에 풀이가 있습니다.
(작성한지 아주 오래된 글이지만
절댓값에 대한 기본적이고 중요한 내용들이 들어 있습니다.
제가 썼지만 정말로 잘 쓴 글입니다. ㅎ ;;;;;
문제3만 달랑 보지 마시고
글 전체를 읽어보실 것을 강력 권장합니다..!!)
하지만
단답형이거나 객관식이라면
여러분 취향에 따라 풀어도 아무런 문제가...
사실 절댓값에 관해서는 할 이야기가 너무 많습니다.
앞으로 찬찬히(?) 하는 걸로 하고...
이 글은 여기까지 입니다. ^-^//
요기로 가면 → www.gajok.co.kr/math.html
다른 글들도 편리하게 볼 수 있습니다.

'수학' 카테고리의 다른 글
| 절댓값 (2) (0) | 2020.07.24 |
|---|---|
| 절댓값 (1) (0) | 2020.07.16 |
| 이차부등식의 해 (2) (0) | 2020.06.23 |
| 이차부등식의 해 (1) (0) | 2020.06.08 |
| 그래프 읽기 (1) (0) | 2020.06.01 |