이 글에 대한 AI '클로드'의 평가

(상세한 평가는 이 글 마지막에 있습니다.)
문제1)

y+2x=k 라 놓고
k의 최댓값, 최솟값을 구하면 됩니다.
x를 넘겨주면
y=-2x+k
이 직선이 원과

점 A에서 접할 때
y절편 k값이 최대가 되고
점 B에서 접할 때
y절편 k값이 최소가 됩니다.
상황파악은 됐으니
이제 직선이 원에 접할 때의 k값만 구하면 됩니다.
풀이1)

서로 접하므로 판별식은 0

따라서

풀이2)
원의 중심 (0, 0)에서
직선 y=-2x+k 까지의 거리는 원의 반지름 2

풀이1과 결과가 같습니다.
풀이3)
공식도 있죠

여기서는

공식에 넣어보면

바로 답이 나오네요
역시 공식은 좋은 것입니다.
단, 정확히 이해하고 정확히 외웠을 경우에..!!
풀이4)
이 문제의 경우에는
써먹을 수 있는 공식이 하나 더 있네요
코시-슈바르츠 부등식..!!

풀이5)
이과생은
이런 문제정도야 암산으로 풀죠..?!

따라서

문제2)

원의 중심과 반지름만 변했을 뿐
문제1과 똑같습니다.

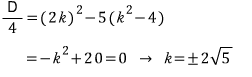
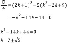
풀이1)

접하므로 판별식은 0

따라서

굳이 뭐하러 이렇게 힘들게 푸냐구요..?
저는 개인적으로 이런 풀이를 선호합니다.
이런 거 많이 연습하다보면
수식 전개하는 것이 많이 자연스러워지기 때문에
웬만한 수식은 실수 안 하고 부담없이 풀 수 있거든요 ;;;;;
암튼 풀이2로 넘어갑니다~
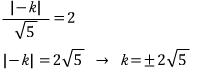
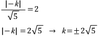
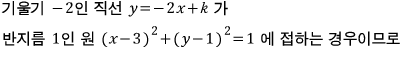
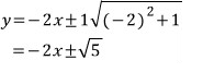
풀이2)
원의 중심 (3, 1)에서
직선 y=-2x+k 까지의 거리는 원의 반지름 1

역시 풀이1과 결과가 같습니다.
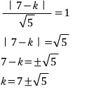
풀이3)
공식으로 풀어볼까요

여기서는

공식에 넣어보면

어라..?! 답이 풀이1, 풀이2와 다르네요 ㅠ
제가 위에서 말했죠..?!
공식은 정확히 이해하고
정확히 외웠을 때 편리한 거라고..!!
이 공식은
원이 중심이 (0, 0)일 때만 써먹을 수 있는 공식이랍니다.
따라서 이 문제는
원의 중심이 (0, 0)이 아니므로 적용하면 안된다는 거..!!
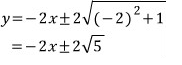
풀이4)
이과풀이(?)입니다.

따라서

좀(?) 난해한 문제 하나 풀어볼께요
문제3)

이 식을 보면

이 원의 윗쪽 반원이라는 것이 보이나요..?
(안 보이면 '반원의 방정식' 참고요~)
그림을 그려보면

최솟값은
접할 때가 아니고, (2, 1)을 지날 때입니다..!!
아랫쪽으로는 원이 없거든요

이해되죠..?!
건투를 빕니다아~ ^-^//
▶ 수학 전체 목록 바로가기 → www.gajok.co.kr/math.html


'수학' 카테고리의 다른 글
| 이차식의 최대최소 (2) (0) | 2021.01.25 |
|---|---|
| 이차식의 최대최소 (1) (0) | 2021.01.21 |
| 일차식의 최대최소 (2) (0) | 2021.01.14 |
| 일차식의 최대최소 (1) (0) | 2021.01.11 |
| 방정식을 두 함수로 나누기 (0) | 2021.01.07 |