728x90
반응형







--------------------------------------------------------------------------------------------------------


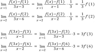
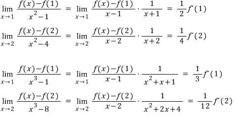
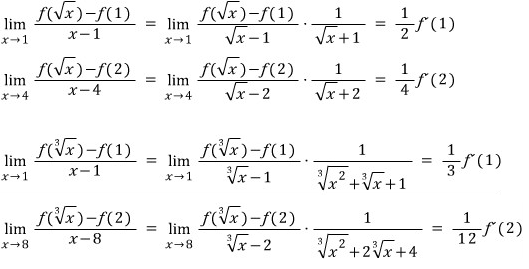
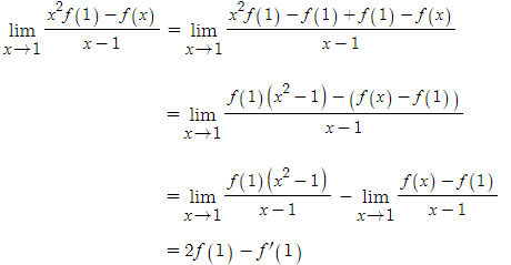
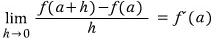
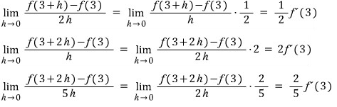
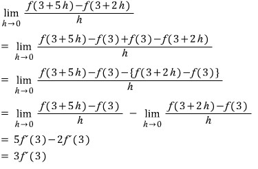
굳이 공식으로 만들어보면


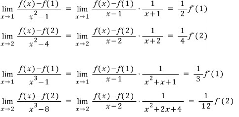
굳이 공식으로 만들어보면

▶ 수학 전체 목록 바로가기 → www.gajok.co.kr/math.html
728x90
반응형







--------------------------------------------------------------------------------------------------------


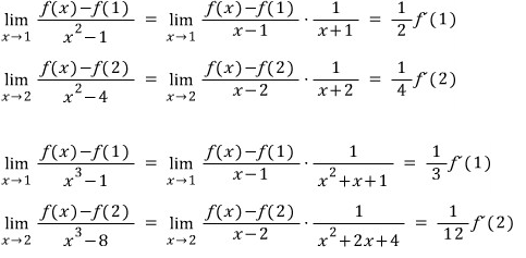
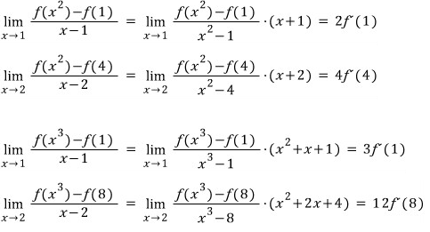
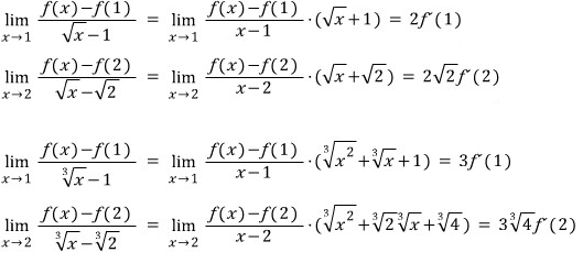
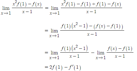
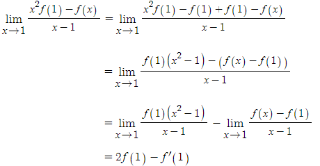
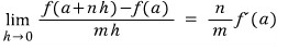
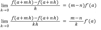
굳이 공식으로 만들어보면


굳이 공식으로 만들어보면

▶ 수학 전체 목록 바로가기 → www.gajok.co.kr/math.html