
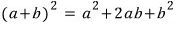
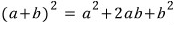
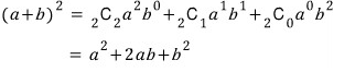
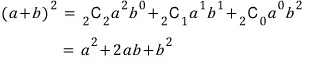
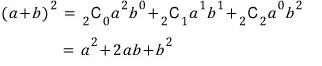
우리가 너무나 잘 알고 있는
이 식의 근원(기원?)을 보면
a는 하나씩 줄고
b는 하나씩 늘어납니다.

각 항의 계수는
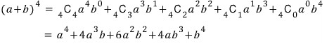
a의 개수를 기준으로 쓰면

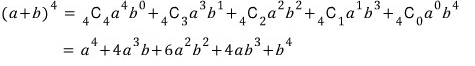
b의 개수를 기준으로 쓰면

대부분의 수학책에서는
b의 개수(뒤에 있는 문자)를 기준으로 정리합니다.
이해가 되나요..?! ;;;;;
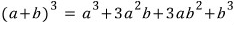
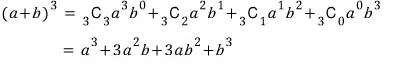
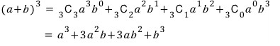
세제곱으로 다시 한 번 해볼께요~

a는 하나씩 줄고
b는 하나씩 늘어납니다.

각 항의 계수는
a의 개수를 기준으로 쓰면

b의 개수를 기준으로 쓰면

역시 대부분의 수학책에서는
b의 개수(뒤에 있는 문자)를 기준으로 정리합니다.
이제는 이해가 되죠..?! ;;;;;
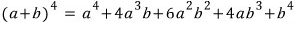
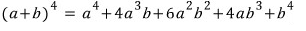
음... 네제곱으로 또 다시 한 번 해보면

a는 하나씩 줄고
b는 하나씩 늘어납니다.

각 항의 계수는
a의 개수를 기준으로 쓰면

b의 개수를 기준으로 쓰면

역시 대부분의 수학책에서는
b의 개수(뒤에 있는 문자)를 기준으로 정리합니다.
이제는 이해가 되죠..?! 아직이라구요..?!
그건 제 책임이 아니라 전적으로 여러분 책임임다. ;;;;; 암튼
제곱과 세제곱은 자주 나오니까 외우고 있을 뿐
이런 방식이라면 전개 못할 식이 없습니다.
문제1)

문제2)

문제3)

문제4)

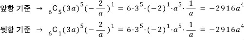
네제곱이 나오려면
앞항 5번, 뒷항 1번 곱해주면 됩니다.

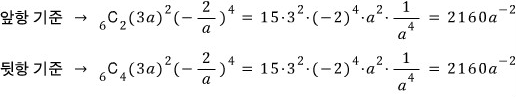
문제5)

-2제곱이 나오려면
앞항 2번, 뒷항 4번 곱해주면 됩니다.

정확히 이해해 두세요~
뒤에 가면 헷갈리고 머리가 아프답니다. ^-^//
요기로 가면 → www.gajok.co.kr/math.html
다른 글들도 편리하게 볼 수 있습니다.

'수학' 카테고리의 다른 글
| 이항정리 (3) (0) | 2022.08.09 |
|---|---|
| 이항정리 (2) (0) | 2022.07.26 |
| 조합과 순열 (5) (0) | 2022.06.27 |
| 조합과 순열 (4) (0) | 2022.06.14 |
| 조합과 순열 (3) (0) | 2022.05.30 |