
100명 중 한 명을 뽑을 때
여자일 확률은 56/100
남자일 확률은 44/100
1학년일 확률은 60/100
2학년일 확률은 40/100
1학년 여자일 확률은 37/100
1학년 남자일 확률은 23/100
2학년 여자일 확률은 19/100
2학년 남자일 확률은 21/100
여기까지 문제 없죠..?!
(약분은 모두 생략여~)
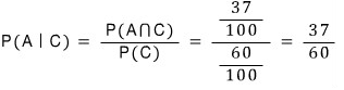
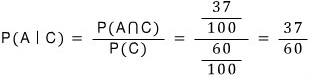
한 명을 뽑았는데 1학년이네
그럼 이 1학년이 여자일 확률은 37/60
한 명을 뽑았는데 1학년이네
그럼 이 1학년이 남자일 확률은 23/60
한 명을 뽑았는데 2학년이네
그럼 이 2학년이 여자일 확률은 19/40
한 명을 뽑았는데 2학년이네
그럼 이 2학년이 남자일 확률은 21/40
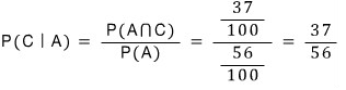
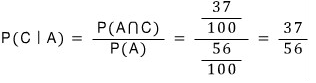
한 명을 뽑았는데 여자네
그럼 이 여자가 1학년일 확률은 37/56
한 명을 뽑았는데 여자네
그럼 이 여자가 2학년일 확률은 19/56
한 명을 뽑았는데 남자네
그럼 이 남자가 1학년일 확률은 23/44
한 명을 뽑았는데 남자네
그럼 이 남자가 2학년일 확률은 21/44
감이 잡히죠..?!
그냥 이렇게 말로 하면 쉬운데
식으로 적어놓으면 이상해지죠
암튼
이제 식으로 써볼께요
여자를 뽑는 사건을 A
남자를 뽑는 사건을 B
1학년을 뽑는 사건을 C
2학년을 뽑는 사건을 D 라고 하면
100명 중 한 명을 뽑을 때
여자일 확률 P(A) = 56/100
남자일 확률 P(B) = 44/100
1학년일 확률 P(C) = 60/100
2학년일 확률 P(D) = 40/100
1학년 여자일 확률 P(A∩C) = 37/100
1학년 남자일 확률 P(B∩C) = 23/100
2학년 여자일 확률 P(A∩D) = 19/100
2학년 남자일 확률 P(B∩D) = 21/100
한 명을 뽑았는데 1학년이네
그럼 이 1학년이 여자일 확률

한 명을 뽑았는데 1학년이네
그럼 이 1학년이 남자일 확률

한 명을 뽑았는데 2학년이네
그럼 이 2학년이 여자일 확률

한 명을 뽑았는데 2학년이네
그럼 이 2학년이 남자일 확률

한 명을 뽑았는데 여자네
그럼 이 여자가 1학년일 확률

한 명을 뽑았는데 여자네
그럼 이 여자가 2학년일 확률

한 명을 뽑았는데 남자네
그럼 이 남자가 1학년일 확률

한 명을 뽑았는데 남자네
그럼 이 남자가 2학년일 확률

이제 문제 풀어볼께요~
문제1)
어느 고등학교 전체 학생의 56%는 여학생이고
중국어를 선택한 여학생은 전체 학생의 37%이다.
이 고등학교 학생 중에서 임의로 뽑은 한 명이 여학생일 때
이 학생이 중국어을 선택한 학생일 확률은?
표를 만들어보면

한 명을 뽑았는데 여학생이네
그럼 이 여학생이 중국어를 선택한 학생일 확률은 37/56
눈치챘나요..?
이 글 젤 앞에 나온 표와 같은 표입니다. ㅎ~ 암튼
걍 이렇게 풀면 되는데
풀이집을 보면 복잡합니다.
여자를 뽑는 사건을 A
중국어를 선택한 학생을 뽑는 사건을 B 라고 하면
P(A) = 0.56
P(A∩B) = 0.37
따라서, 한 명을 뽑았는데 여학생이네
그럼 이 여학생이 중국어를 선택한 학생일 확률

왜 이렇게 복잡하게 푸냐구요..?
나도 몰라요~ ;;;;;
문제를 살짝 바꿔서
어느 고등학교 전체 학생의 56%는 여학생이고
중국어를 선택한 여학생은 여학생의 20%이다.
이 고등학교 학생 중에서 임의로 뽑은 한 명이 여학생일 때
이 학생이 중국어을 선택한 학생일 확률은?
차이점이 보이나요..?
중국어를 선택한 여학생은
여학생의 20% (즉, 0.56 x 0.2 = 0.112%)
따라서, 답은

우리는 항상
문제를 잘 읽어야 된다는 거..!!
여기서 잠깐
이상한 거 느끼신 분~ 손..!!
중국어를 선택한 여학생은 '여학생의 20%'이다.
라고 했으니까
임의로 뽑은 한 명이 여학생일 때
이 학생이 중국어를 선택한 학생일 확률은
그냥 당근 20% = 20/100 = 1/5
식으로 확인해봐도

조건부확률 개념을 제대로 잡고 있는 학생이라면
이렇게 생각하겠죠
어..?! 답은 그냥 20%=1/5 인데
쌤이 실수하신 듯... ;;;;;
문제2)
1학년 300명, 2학년 200명의 물리, 화학 선택 여부를 조사했더니
물리를 선택한 240명의 학생 중에서 1학년은 130명,
화학을 선택한 330명의 학생 중에서 2학년은 140명이었다.
조사한 학생 중에서 임의로 택한 한 명이 물리, 화학을 모두 선택한 학생일 때
이 학생이 2학년일 확률은? (모든 학생은 적어도 한 과목은 선택한다.)
복잡하나요..? 이런 류(?)의 문제는
표만 만들면 모든 문제가 다~ 해결됩니다.
물리를 선택한 240명의 학생 중에서 1학년은 130명 → 그럼 2학년은 110명
화학을 선택한 330명의 학생 중에서 2학년은 140명 → 그럼 1학년은 190명
일단 여기까지만 표를 만들면

1학년은 300명이니까
물리, 화학을 모두 선택한 이해불가한(?) 학생은 20명 ← (130+190)-300 = 20
2학년은 200명이니까
물리, 화학을 모두 선택한 이해불가한(?) 학생은 50명 ← (110+140)-200 = 50

따라서, 임의로 택한 한 명이 물리, 화학을 모두 선택한 학생일 때
이 학생이 2학년일 확률은 50/70 = 5/7
풀이집처럼 어렵게(?) 풀어보면
물리, 화학을 모두 선택한 학생을 뽑는 사건을 A
2학년을 뽑는 사건을 B 라고 하면

따라서, 구하는 확률은

문제야 얼마든지 바꿔가면서 물을 수 있겠죠..?!
임의로 택한 한 명이 물리, 화학을 모두 선택한 학생일 때
이 학생이 1학년일 확률은 20/70 = 2/7
임의로 택한 한 명이 1학년일 때
이 학생이 물리, 화학을 모두 선택한 학생일 확률은 20/300 = 1/15
임의로 택한 한 명이 2학년일 때
이 학생이 물리, 화학을 모두 선택한 학생일 확률은 50/200 = 1/4
문제3)
어떤 AI가 암에 걸린 사람을 암에 걸렸다고 진단할 확률은 95%,
암에 걸리지 않은 사람을 암에 걸렸다고 잘못 진단할 확률은 15%이다.
암에 걸린 사람과 암에 걸리지 않은 사람의 비율이 각각 10%, 90% 인 집단에서
이 AI가 임의로 한 사람을 택하여 진단한 후 암이라고 판정을 내렸을 때
이 사람이 실제로 암에 걸린 사람일 확률은?
전체를 100명이라고 가정하면
암에 걸린 사람은 10명 (100명 중 10%)
암에 걸리지 않은 사람은 90명 (100명 중 90%)

AI가 암에 걸린 사람을 암에 걸렸다고 진단한 사람은 9.5명 (10명 중 95%)
AI가 암에 걸린 사람을 암에 걸리지 않았다고 잘못 진단한 사람은 나머지 0.5명

AI가 암에 걸리지 않은 사람을 암에 걸렸다고 잘못 진단한 사람은 13.5명 (90명 중 15%)
AI가 암에 걸리지 않은 사람을 암에 걸리지 않았다고 진단한 사람은 나머지 76.5명

완성된 최종표입니다.

따라서, 이 AI가
임의로 한 사람을 택하여 진단한 후 암이라고 판정을 내렸을 때
이 사람이 실제로 암에 걸린 사람일 확률은

소수점이 마음에 걸리면
전체를 1000명이라고 가정하면 됩니다.

암튼
풀이집처럼 어렵게(?) 풀어볼까요
암에 걸린 사람을 택하는 사건을 A
암에 걸렸다고 진단하는 사건을 B 라고 하면
우리가 구하려는 확률은

하나씩 차례대로 구해보면

위에서 만들었던 표를
식으로 표현한 건데... 어렵죠..?! ㅠ
하지만 어떡하겠어요
풀이집은 다 이케 풀어놨는데
그래도 식과 표를 하나씩 비교해보면
딱히 뭐... 어려운 것도 아님다. ;;;;;

저는 나름 최선을 다해 설명했습니다.
이제 이해를 하고 안 하고는 오롯이 여러분 몫입니다..!! ^-^//
PS.
위의 문제2에서
가끔 이케 질문하는 학생들이 있습니다.
물리, 화학을 모두 선택한 학생을 뽑는 사건을 A
2학년을 뽑는 사건을 B 라고 하면

이렇게 구하는 거 아닌가요..? 하구요
음... 한 번 설명을 해보면

이거는 사건 A와 사건 B가
각각 독립적으로 실행되는 경우입니다. (독립시행, 담에 다룰 거예요~)
그런데
물리, 화학을 모두 선택한 학생을 뽑는 사건 A와
2학년을 뽑는 사건 B는
서로 독립이 아니기 때문에
위와 같이 구하면 안 됩니다..!!
다시 말해, 여기서는

'물리, 화학을 모두 선택한 학생을 뽑고, 2학년을 뽑을 확률'로
해석하면 안 되고
'물리, 화학을 모두 선택한 2학년을 뽑을 확률'로
해석해야 합니다.
어라..?! 그럼
사건 A와 사건 B가 서로 독립인지 아닌지는 어케 구분하냐구요..?
그건 담에요~ ^-^// ;;;;;
요기로 가면 → www.gajok.co.kr/math.html
다른 글들도 편리하게 볼 수 있습니다.
