문제1)
10원짜리 동전 2개와 100원짜리 동전 1개를 동시에 던져서 앞면이 1개 나왔을 때
그것이 100원짜리 동전일 확률은?
앞면이 1개인 경우는 3가지 → 앞뒤뒤, 뒤앞뒤, 뒤뒤앞
이 중 100원짜리가 앞면인 경우는 1가지 → 앞뒤뒤
따라서, 앞면이 1개 나왔을 때
그것이 100원짜리 동전일 확률은 1/3 (3가지 경우 중 1가지)
풀이집처럼 구해보면
전체 경우의 수는 8가지 (← 2x2x2=8)

동전의 앞면이 1개 나오는 사건을 A
100원짜리 동전이 앞면이 나오는 사건을 B 라 하면

따라서, 앞면이 1개 나왔을 때
그것이 100원짜리 동전일 확률

문제2)
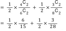
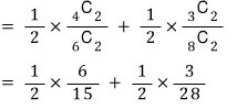
A주머니에는 흰 바둑돌 4개, 검은 바둑돌 2개
B주머니에는 흰 바둑돌 3개, 검은 바둑돌 5개가 들어 있다.
임의로 하나의 주머니를 택하여 2개의 바둑돌을 동시에 꺼냈더니 모두 흰 바둑돌이었다.
이 때, 이 흰 바둑돌 2개가 A주머니에서 나왔을 확률은?
흰 바둑돌 2개가 나오는 경우는 2가지입니다.
A주머니에서 나왔거나
B주머니에서 나왔거나
그래서
흰 바둑돌 2개가 나올 확률은
(A주머니를 택하고)(흰 바둑돌 2개가 나왔거나) + (B주머니를 택하고)(흰 바둑돌 2개가 나왔거나)

따라서
2개 모두 흰 바둑돌이었을 때
이 흰 바둑돌 2개가 A주머니에서 나왔을 확률은

풀이집처럼 정리해서 표현해보면
A주머니를 택하는 사건을 A
B주머니를 택하는 사건을 B
꺼낸 2개의 바둑돌이 모두 흰색인 사건을 E 라 하면
우리가 구하려는 확률은

일단

객관식이면
그냥그냥 풀면 되는데
서술형이면
아무리 간단한 표현이라도
식으로 나타내려고 하면 깝깝해집니다.
특히나
무슨무슨 사건을 A
무슨무슨 사건을 B 로 놓는 게 쉽지 않죠
뭐... 방법이 있나요
많이 풀어보고 익숙해지는 수 밖에... ;;;;;
문제3)
파란색 주사위 3개, 빨간색 주사위 2개, 노란색 주사위 1개가 들어있는 상자에서
임의로 하나의 주사위를 꺼내 던졌더니 5가 나왔다.
이 때, 이 주사위가 빨간색 주사위일 확률은?
문제가 너무 단순한가요..?
내 머리에서 나올 수 있는 최대치임다. ㅎ
핑계를 대자면
이 글의 목적은 개념잡기라는 거..!!
개념을 잡는데 굳이 문제가 어려울 필요는 없잖아요 ;;;;;
암튼... 변명은 여기까지
문제 풀어볼께요~
주사위를 던져서 5가 나오는 경우는 당근 3가지입니다.
파란색 주사위를 던져서 5가 나왔거나
빨간색 주사위를 던져서 5가 나왔거나
노란색 주사위를 던져서 5가 나왔거나
그래서
주사위를 던져서 5가 나올 확률은
(파란색 주사위를 택하고)(5가 나왔거나) + (빨간색 주사위를)(5가) + (노란색 주사위를)(5가)

따라서
주사위를 던져서 5가 나왔을 때
이 주사위가 빨간색 주사위일 확률은

풀이집처럼 정리해서 표현해보면
파란색 주사위를 꺼내는 사건을 A
빨간색 주사위를 꺼내는 사건을 B
노란색 주사위를 꺼내는 사건을 C
주사위를 던져서 5가 나오는 사건을 E 라 하면
우리가 구하려는 확률은

일단

역시, 이 단순한 걸 식으로 쓰려면
많은 연습이 필요하답니다.
하나만 더 하고 끝낼께요~
문제4)
갑순이가 3개의 동전을 던져서 나온 앞면의 개수만큼 갑돌이가 주사위를 던진다.
갑돌이가 주사위를 던져서 5가 2번 나왔을 때
갑순이가 동전을 던져서 앞면이 3개가 나왔을 확률은?
갑돌이가 주사위를 던져서 5가 2번 나오는 경우는 2가지입니다.
갑순이 앞면 2개 → 갑돌이 주사위 2개 던져 2개 모두 5가 나왔거나
갑순이 앞면 3개 → 갑돌이 주사위 3개 던져 5가 2개 나왔거나
그래서
갑돌이가 주사위를 던져서 5가 2번 나올 확률은
(갑순이 앞면 2개)(갑돌이 주사위 2개 던져 2개 모두 5) + (갑순이 앞면 3개)(갑돌이 주사위 3개 던져 5가 2개)

확률이 간단해서(?) 그냥 바로 적었지만
굳이 독립시행의 확률로 적어보면 (→ '이항분포 (1)' 참고)

결과는 같습니다. 암튼
따라서
갑돌이가 주사위를 던져서 5가 2번 나왔을 때
갑순이가 동전을 던져서 앞면이 3개가 나왔을 확률은

풀이집처럼 정리해서 표현해보면
갑순이가 3개의 동전을 던져서 앞면이 2개 나오는 사건을 A
갑순이가 3개의 동전을 던져서 앞면이 3개 나오는 사건을 B
갑돌이가 주사위를 던져서 5가 2번 나오는 사건을 E 라 하면
우리가 구하려는 확률은

일단

이제 문제집을 펴서
관련 문제들을 함 풀어보세요~
문제들이 다
거기서 거기일 거예요
끄으으으읏~ ^-^//
요기로 가면 → www.gajok.co.kr/math.html
다른 글들도 편리하게 볼 수 있습니다.
