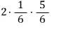
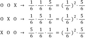
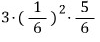
① 주사위를 2번 던졌을 때, 3이 1번 나올 확률은?

따라서
주사위를 2번 던졌을 때, 3이 1번 나올 확률은

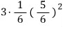
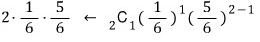
② 주사위를 3번 던졌을 때, 3이 1번 나올 확률은?

따라서
주사위를 3번 던졌을 때, 3이 1번 나올 확률은

앞으로는 요렇게 표현할께요~

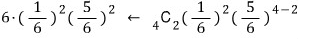
③ 주사위를 4번 던졌을 때, 3이 1번 나올 확률은?

따라서
주사위를 4번 던졌을 때, 3이 1번 나올 확률은

더 안 해도 되죠..?! ;;;;;
결론:
주사위를 n번 던졌을 때, 3이 1번 나올 확률은

------------------------------------------------------------------
① 주사위를 3번 던졌을 때, 3이 2번 나올 확률은?

따라서
주사위를 3번 던졌을 때, 3이 2번 나올 확률은

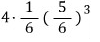
② 주사위를 4번 던졌을 때, 3이 2번 나올 확률은?

따라서
주사위를 4번 던졌을 때, 3이 2번 나올 확률은

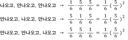
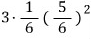
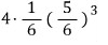
③ 주사위를 5번 던졌을 때, 3이 2번 나올 확률은?

따라서
주사위를 5번 던졌을 때, 3이 2번 나올 확률은

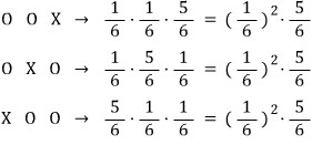
확률이 모두 같은 건 알겠는데
5번 던져서 2번 나오는 경우가 몇가지냐는 거죠
감이 오나요..?
주사위를 5번 던졌을 때, 3이 2번 나올 확률은

결론:
주사위를 n번 던졌을 때, 3이 2번 나올 확률은

------------------------------------------------------------------
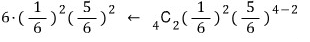
최종 결론입니다.
주사위를 n번 던졌을 때, 3이 r번 나올 확률은

위에서 했던 걸로
한번 확인해 볼까요
주사위를 2번 던졌을 때, 3이 1번 나올 확률은

주사위를 3번 던졌을 때, 3이 1번 나올 확률은

주사위를 4번 던졌을 때, 3이 1번 나올 확률은

주사위를 n번 던졌을 때, 3이 1번 나올 확률은

주사위를 3번 던졌을 때, 3이 2번 나올 확률은

주사위를 4번 던졌을 때, 3이 2번 나올 확률은

주사위를 5번 던졌을 때, 3이 2번 나올 확률은

주사위를 n번 던졌을 때, 3이 2번 나올 확률은

요정도로만 감을 잡고
이항분포에 대한 본격적인 이야기는 다음으로... ^-^//
요기로 가면 → www.gajok.co.kr/math.html
다른 글들도 편리하게 볼 수 있습니다.
