문제1)
두 점 A(1, 1), B(5, 1)을 이은
선분 AB를 빗변으로 하는 직각삼각형의 다른 한 꼭짓점을 P라고 할 때
점 P의 자취의 방정식은?
풀이1)
지금까지 그래왔던 것처럼
점 P를 (x, y)로 놓고

식을 하나 만들면 끝입니다.

정리하면

풀이2)
그런데 점 P를 몇 개 더 찍다보면

점 P의 자취는
선분 AB를 지름으로 하는 원이 된다는 것을 알 수가 있습니다.
따라서
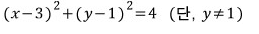
점 P의 자취의 방정식은
선분 AB의 중점 (3, 1)이 중심이고
반지름의 길이가 2인 원의 방정식입니다.

그런데
여기서 문제가 하나 발생합니다.
점 P가
점 A나 점 B에 오면
삼각형 자체가 만들어지지 않습니다.
그러므로
점 A와 점 B는 제외시켜줘야 합니다. 요렇게

아니면 뭐 이렇게

그럼
풀이1은 답이 틀렸다는 소리입니다..!!
풀이1과 같이 식으로 풀면
웬만한 내공이 아니고서는
제외되는 점을 찾아내기가 쉽지 않습니다.
물론 풀이2로 푼다고 해서
제외되는 점이 눈에 확 들어오는 건 또 아니죠 ;;;;;
암튼... 한마디 덧붙이면
이러한 내공은 하루아침에 쌓이는 것이 아니라는 거..!!
문제2)
두 점 A(2, 1), B(4, -3)을 이은
선분 AB를 빗변으로 하는 직각삼각형의 다른 한 꼭짓점을 P라고 할 때
점 P의 자취의 방정식은?
풀이1)
점 P를 (x, y)로 놓으면

정리하면

어떠세요...
제외되는 점이 보이나요?
풀이2)
점 P의 자취의 방정식은

요기로 가면 → www.gajok.co.kr/math.html
다른 글들도 편리하게 볼 수 있습니다.

'수학' 카테고리의 다른 글
| 두 점 사이의 거리 (1) (0) | 2020.11.05 |
|---|---|
| 내분점과 외분점 (0) | 2020.11.04 |
| 자취의 방정식 (10) (0) | 2020.10.30 |
| 자취의 방정식 (9) (0) | 2020.10.29 |
| 자취의 방정식 (8) (0) | 2020.10.28 |