선분 AB를 2:1로 내분하는 점과 외분하는 점

선분 AB를 1:2로 내분하는 점과 외분하는 점

선분 AB를 3:1로 내분하는 점과 외분하는 점

선분 AB를 1:3으로 내분하는 점과 외분하는 점

선분 AB를 3:2로 내분하는 점과 외분하는 점

선분 AB를 2:3으로 내분하는 점과 외분하는 점

문제1)
두 점 A(2), B(9)를 2:1로 내분하는 점과 외분하는 점은?

단순하게 풀어보면
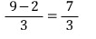
전체를 3으로 나누면 한칸의 길이는

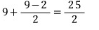
내분점은 A(2)에서 두 칸을 가면 되고

외분점은 B(9)에서 7을 가면 됩니다.

고등학교 공식으로 풀어보면
내분점은

외분점은

문제2)
두 점 A(2), B(9)를 1:2로 내분하는 점과 외분하는 점은?

단순하게 풀어보면
전체를 3으로 나누면 한칸의 길이는

내분점은 A(2)에서 한칸만 가면 되고

외분점은 A(2)에서 7을 빼면 됩니다.

고등학교 공식으로 풀어보면
내분점은

외분점은

문제3)
두 점 A(2), B(9)를 3:1로 내분하는 점과 외분하는 점은?

단순하게 풀어보면
전체를 4로 나누면 한칸의 길이는

내분점은 A(2)에서 세 칸을 가면 되고

외분점은 B(9)에서 전체의 반을 가면 됩니다.

고등학교 공식으로 풀어보면
내분점은

외분점은

문제4)
두 점 A(2), B(9)를 1:3으로 내분하는 점과 외분하는 점은?

단순하게 풀어보면
전체를 4로 나누면 한칸의 길이는

내분점은 A(2)에서 한칸만 가면 되고

외분점은 A(2)에서 전체의 반을 빼면 됩니다.

고등학교 공식으로 풀어보면
내분점은

외분점은

문제5)
두 점 A(2), B(9)를 3:2로 내분하는 점과 외분하는 점은?

단순하게 풀어보면
전체를 5로 나누면 한칸의 길이는

내분점은 A(2)에서 세 칸을 가면 되고

외분점은 B(9)에서 전체의 두 배를 가면 됩니다.

고등학교 공식으로 풀어보면
내분점은

외분점은

문제6)
두 점 A(2), B(9)를 2:3으로 내분하는 점과 외분하는 점은?

단순하게 풀어보면
전체를 5로 나누면 한칸의 길이는

내분점은 A(2)에서 두 칸을 가면 되고

외분점은 A(2)에서 전체의 두 배를 빼면 됩니다.

고등학교 공식으로 풀어보면
내분점은

외분점은

요기로 가면 → www.gajok.co.kr/math.html
다른 글들도 편리하게 볼 수 있습니다.

'수학' 카테고리의 다른 글
| 두 점 사이의 거리 (2) (0) | 2020.11.06 |
|---|---|
| 두 점 사이의 거리 (1) (0) | 2020.11.05 |
| 자취의 방정식 (11) (0) | 2020.11.02 |
| 자취의 방정식 (10) (0) | 2020.10.30 |
| 자취의 방정식 (9) (0) | 2020.10.29 |