문제1)

점 P를 아무데나 찍지말고
y축 위에만 찍으라네요
그럼 y축 위 어디에다 찍으면

위의 그림과 같이
점 B를 y축에 대칭시켰을 때
선분 AB'의 길이가

따라서

물론 점 A를 대칭시켜도
결과는 같습니다.

문제2)

점 P의 좌표를 구하는 방법은

닮음비를 이용해서 구해보면

따라서, 점 P의 좌표는

이해가 잘 안되죠..? ㅠ
그냥
두 점 A(2, 1), B'(-3, 4)를 지나는 직선의 방정식을 구해서
y절편을 구하는 걸로...
두 점 A, B'를 지나는 직선의 방정식은

x=0 을 대입해서
y절편을 구해보면 11/5
따라서, 점 P의 좌표는

확인 겸
아래 그림으로도 구해보면

두 점 A', B를 지나는 직선의 방정식은

y절편은 11/5
결과는 같습니다.
문제3)

우리가 문제1과 문제2에서
그림을 이용해서 문제를 푼 건
식으로 해결이 안되기 때문입니다.
P(0, a)로 놓으면

이 식의 최솟값을 구하라구요? ㅠ
음... 포기하고
그림을 이용해서 문제를 푼 것입니다.
근데, 이 문제는
식으로 바로 해결이 됩니다..!!

따라서

문제4)

문제5)

어라?
위에서 이 식의 최솟값은 못구한다고 해놓고
최솟값을 구하라구..?!
사실 산전수전 다 겪은 학생들은
다시 말해, 문제를 많이 풀어 본 학생들은
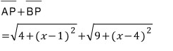
이 식을 해석해 냅니다. 이 어려운 걸..!!
우리도 한번 해석해 보죠

이 식은
네 가지 경우로 해석이 가능합니다.

네 가지 경우 모두

다행인 건(?)
네 가지 경우 모두 최솟값이 같다는 거..!!
따라서

두 점 (2, 1), (-3, 4) 사이의 거리로

물론
두 점 (-2, 1), (3, 4) 사이의 거리도

문제6)

이 때는 두 점 A, B가 처음부터
y축을 기준으로 반대쪽에 있기 때문에

괜히 전에 풀어봤던 문제랍시고
문제파악도 안하고
점 B를 y축에 대칭시켜
(2, 1)과 (3, 4) 사이의 거리를 구한다거나

점 A를 y축에 대칭시켜
(-2, 1)과 (-3, 4) 사이의 거리를 구하면

안돼요~
이런 문제를 본 적은 없지만
학교 수학선생님들 중에는
학생들을 낚는 낙에 사시는 분들이 가끔 계시는지라
조심해야 합니다~ ^-^//
요기로 가면 → www.gajok.co.kr/math.html
다른 글들도 편리하게 볼 수 있습니다.

'수학' 카테고리의 다른 글
| 두 점 사이의 거리 (5) (0) | 2020.11.20 |
|---|---|
| 두 점 사이의 거리 (4) (0) | 2020.11.18 |
| 두 점 사이의 거리 (2) (0) | 2020.11.06 |
| 두 점 사이의 거리 (1) (0) | 2020.11.05 |
| 내분점과 외분점 (0) | 2020.11.04 |