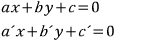
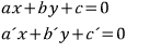
일차연립방정식(이원일차연립방정식)

이 연립방정식의 해는
x=2, y=1
연립방정식은
해가 무엇이냐도 중요하지만
그보다 더 중요한 것은
그 해가 의미하는 것이 무엇이냐는 것입니다.
이 연립방정식의 해
x=2, y=1 → (2, 1)은
x+y=3 에 대입해도 성립하고
-2x+y=-3 에 대입해도 성립하는 유일한 값입니다.
그래프를 그려서 확인해보면
두 직선이 만나는 점이 바로 연립방정식의 해입니다..!!

두 직선이 만나는 점이 바로 연립방정식의 해라는
이 간단하고 중요한 사실을 꼭 기억해 두시기 바랍니다.
그럼 직선 두 개는
무조건 이와 같이 한점에서 만날까요..?
대부분의 경우는 한점에서 만나지만
특수한 경우에는 한점에서 만나지 않습니다.
그 특수한 경우라는 것은
기울기가 같은 경우를 말합니다.
아래의 두 식을 보면 기울기가 같습니다.
기울기가 모두 2입니다.

한번 그려보겠습니다.

이와 같이 기울기가 같고 y절편이 다르면
두 직선은 영원히 만나지 않습니다. 해가 없습니다..!!
예전에는 해가 없는 것을 '불능'이라고 했는데
이제는 그런 표현은 쓰지 않는 것 같습니다. 암튼
두 일차함수가 기울기가 같고 y절편이 다르면
해가 없다..!!
그럼 이런 경우는요

왜 이런 연립방정식을 만드는지는 모르겠지만
두 번째 식을 3으로 나눠주면 첫번째 식과 같은 식이 됩니다.
즉, 두 식은 같은 식입니다.
기울기도 같고 y절편도 같은
두 개의 그래프를 그리면 당근 똑같습니다.

실제로는 두 개를 그린 것이지만
겹쳐서 그냥 하나로 보입니다.
그럼 이 연립방정식의 해는
무수히 많은 것입니다. 모든 점이 해입니다.
예전에는 해가 무수히 많은 것을 '부정'이라고 했는데
역시 이제는 그런 표현은 쓰지 않는 것 같습니다. 암튼
두 일차함수가 기울기도 같고 y절편도 같으면
해가 무수히 많다..!! 다르게 표현하면 모든 실수..!!
일차연립방정식 문제는 대부분
(그냥 단순히 해를 구하라는 문제도 있지만)
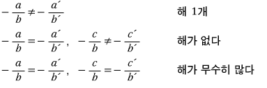
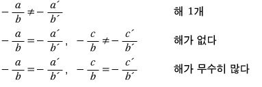
어떤 경우에 해가 없고
어떤 경우에 해가 무수히 많은지를 묻는 문제입니다.
간단합니다.
기울기가 같고 y절편이 다르면 → 해가 없고
기울기도 같고 y절편도 같으면 → 해가 무수히 많고 (모든 실수)
이 쉬운 걸 가지고 해가 있니 없니 하면서
머리 아파하는 학생들을 보면 저는 마음이 아프답니다. ;;;;;
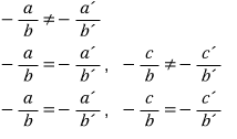
정리해 볼까요

여기에 하나 덧붙여서
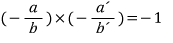
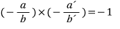
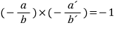
두 직선의 기울기를 곱해서 -1이면 (aa'=-1)
두 직선은 직교합니다.
수직으로 만난다는 소리입니다.

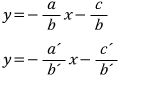
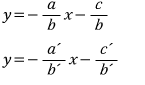
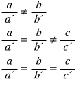
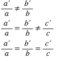
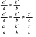
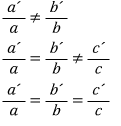
그런데
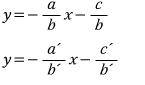
고등학교 수학에서는 많은 경우
일차함수가

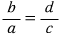
그럼 식이

이렇게 주어지면 어떻게 해야 할까요
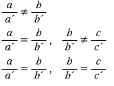
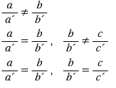
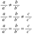
식을 바꾸고

위의 경우를 그대로 적용하면

걍 이렇게 외워도 아무런 문제가 없지만
분수의 성질(?)을 이용해서
살짝만 바꿔주면 외우기가 편해집니다.
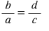
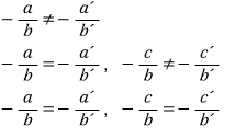
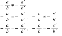
잠깐 분수의 성질을 확인해보면

이 식에서 a와 d는 서로 자리를 바꿔도 식이 성립합니다.

마찬가지로 b와 c도 서로 자리를 바꿔도 식이 성립합니다.

이제 제자리로 돌아와서

- 는 서로 없애고 자리를 바꾸면

한꺼번에 써주면

바로 이 식이
모든 수학책에서 쓰고 있는 식입니다.
물론 서로 방향만 맞으면 아래와 같이
분자와 분모를 서로 바꿔도 아무런 상관이 없습니다.

그리고 직교하는 경우는
기울기를 서로 곱해서 -1이 나오면
두 직선이 직교한다고 한 거 기억나죠..?!

이렇게 저렇게 정리하면

휴~ 이제 정리하겠습니다.

많은 수학책에서 흔히 볼 수 있는 표입니다.
이제 왜 이렇게 나오는지 다 이해했죠..?!
믿슴다..!!
여기까지요~ ^-^//
PS.
y절편이 0인 두 직선, 즉
원점을 지나는 두 직선을 그려보겠습니다.

기울기가 서로 다르면
해를 가지긴 가지는데 그 해는 (0, 0)입니다.
(0, 0) 이외의 해는 가질 수가 없습니다.
그렇기 때문에
원점을 지나는 두 직선이 (0, 0) 이외의 해를 가지려면
기울기가 같을 수 밖에 없고
그럼 두 직선은 똑같은 직선이 되고
해가 무수히 많아져서 (0, 0) 이외의 해를 가지게 됩니다.
문제 한번 풀어볼까요
두 직선 y=ax, y=3x 가
x=0, y=0 이외의 해를 가지기 위한 a값은?
풀 것도 없습니다.
답은 그냥 a=3 입니다.
두 직선이 모두 원점을 지나는 직선이고
(0, 0) 이외의 해를 가지려면 기울기가 같을 수 밖에 없고... 즉, a=3
이 간단하고 단순한 사실을 모른채
그냥 외워서 푸는 학생들이 있는 것 같아서 한번 적어보았슴다. ;;;;;
요기로 가면 → www.gajok.co.kr/math.html
다른 글들도 편리하게 볼 수 있습니다.

'수학' 카테고리의 다른 글
| 두 함수의 위치관계 (0) | 2020.12.28 |
|---|---|
| 일차함수 (3) (0) | 2020.12.24 |
| 일차함수 (1) (0) | 2020.12.17 |
| 이차부등식의 해 (4) (0) | 2020.12.14 |
| 이차부등식의 해 (3) (0) | 2020.12.10 |