기울기가 2이고
(3, 1)을 지나는 직선의 방정식은?
풀이1)
y=2x+b 로 놓고
(3, 1)을 대입하면 b=-5 → y=2x-5
풀이2)
y-1=2(x-3) → y=2x-5
중학생은 풀이1
고등학생은 풀이1, 풀이2 아무거나...
문제1)
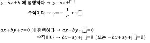
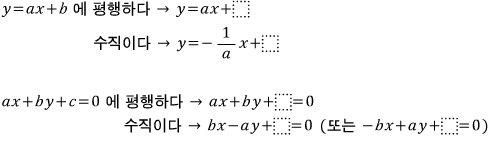
y=-2x+1 에 평행하고
(1, -5)를 지나는 직선의 방정식은?
평행하니까 기울기는 같습니다.
따라서, 기울기는 -2
기울기가 -2이고
(1, -5)를 지나는 직선의 방정식은
y+5=-2(x-1) → y=-2x-3
문제2)
y=-2x+1 에 수직이고
(1, -5)를 지나는 직선의 방정식은?
두 직선의 기울기의 곱이 -1이면 수직이므로
구하려는 직선의 기울기는 1/2
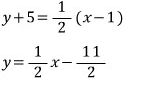
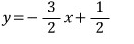
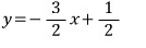
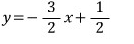
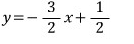
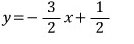
기울기가 1/2 이고
(1, -5)를 지나는 직선의 방정식은

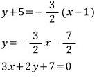
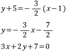
문제3)
3x+2y-1=0 에 평행하고
(1, -5)를 지나는 직선의 방정식은?
주어진 식을 바꾸면

기울기가 -3/2 이고
(1, -5)를 지나는 직선의 방정식은

그런데
풀이가 좀 없어보이지(?) 않나요..?!
물론 많은 문제집도 이렇게 풀어놨지만요 ;;;;;
그래도 좀 뽀다구나게 풀어보면
3x+2y-1=0 에 평행하다고 하면
x와 y의 계수가 똑같이 놓습니다. 요렇게
3x+2y+c=0
그래야 아래식이 성립하거든요

이 말이 이해가 안되면
'일차함수 (2)' 참고요~ 암튼
여기에 (1, -5)를 대입하면
c=7
따라서
구하려는 직선의 방정식은
3x+2y+7=0
풀이가 좀 있어보이지(?) 않나요..?!
아님 말구요 ;;;;;
물론
6x+4y+c=0, 30x+20y+c=0 등등

위의 식만 성립하게 놓으면
결과는 같습니다.
의심스러우면
여러분이 직접 한번 확인해 보세요~
문제4)
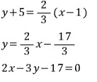
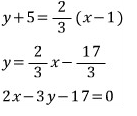
3x+2y-1=0 에 수직이고
(1, -5)를 지나는 직선의 방정식은?
주어진 식을 바꾸면

수직이므로
구하려는 직선의 기울기는 2/3
기울기가 2/3이고
(1, -5)를 지나는 직선의 방정식은

역시 풀이가 좀 그렇습니다.(?)
3x+2y-1=0 에 수직이다고 하면
x와 y의 계수를 서로 바꾸고
2x+3y+c=0
부호를 하나만 바꿔줍니다.
2x-3y+c=0
그래야
aa'+bb'=0 이 성립하거든요
이 말이 이해가 안되면 역시
'일차함수 (2)' 참고요~ 암튼
여기에 (1, -5)를 대입하면
c=-17
따라서
구하려는 직선의 방정식은
2x-3y-17=0
x의 부호를 바꿔주고 풀어도 똑같습니다.
-2x+3y+c=0
여기에 (1, -5)를 대입하면
c=17
-2x+3y+17=0 → 2x-3y-17=0
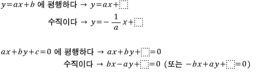
정리해 볼까요

요기로 가면 → www.gajok.co.kr/math.html
다른 글들도 편리하게 볼 수 있습니다.

'수학' 카테고리의 다른 글
| 이차함수 (1) (0) | 2020.12.31 |
|---|---|
| 두 함수의 위치관계 (0) | 2020.12.28 |
| 일차함수 (2) (0) | 2020.12.21 |
| 일차함수 (1) (0) | 2020.12.17 |
| 이차부등식의 해 (4) (0) | 2020.12.14 |