
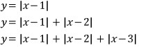
절댓값이 1개, 2개, 3개인 함수
차례대로 한번 그려보겠습니다.
① 절댓값이 1개인 함수

ⅰ) x≥1

ⅱ) x<1

두 그래프를 합치면

다른 방식으로 그려보면
일단 절댓값을 없애고 그린 다음

y값이 음수인 부분은
위로 올려줍니다. (x축에 대하여 대칭이동)

그리고 y값이 음수인 부분을 지워주면
우리가 그리고자 하는 그래프가 나옵니다.

조금 더 자세한 내용은
'절댓값 그래프 (1)'을 참고하세요~
이렇게 그리든 저렇게 그리든
그래프를 그릴 수는 있는데
문제는 셤 볼 때
이럴 시간이 없다는 거..!!
이런 그래프가 나올 때마다
일일이 이런 식으로 그리다보면 시간 다 갑니다. ㅠ
그래서 앞으로는
바로 한번에 그릴 거예요~

1에서 꺽이고

연습1)

-2에서 꺽이고

연습2)

3/2에서 꺽이고

② 절댓값이 2개인 함수

절댓값이 1개인 함수에서는
기준점이 1, 하나여서
1보다 크다, 1보다 작다
두 가지 경우만 조사하면 됐지만


절댓값이 2개인 함수에서는
기준점이 1과 2, 두 개여서
1보다 작다, 1과 2사이, 2보다 크다
세 가지 경우를 조사해야 합니다.

한번 해볼까요
유형1)

ⅰ) x>2

ⅱ) 1≤x≤2

ⅲ) x<1

세 그래프를 합치면

이 역시 셤에 나올 때마다
일일이 그리기에는 시간이 많이 걸립니다. ㅠ
물론 평소에 많이 그려보면
금방 그럴 수도 있겠죠..?! ;;;;;
암튼 앞으로는
바로 한번에 그릴 거예요~

즉, 이 그래프는 (1, 1)과 (2, 1)을 지납니다.
좌표평면에 두 점을 찍고 그냥 연결합니다. (하늘 향해 팔 벌린 모양으로 ;;;;;)

연습)

즉, 이 그래프는 (1, 3)과 (-2, 3)을 지납니다.
좌표평면에 두 점을 찍고 그냥 연결합니다. (하늘 향해 팔 벌린 모양으로 ;;;;;)

유형2)

ⅰ) x>2

ⅱ) 1≤x≤2

ⅲ) x<1

세 그래프를 합치면

바로 그려보면

즉, 이 그래프는 (1, -1)과 (2, 1)을 지납니다.
좌표평면에 두 점을 찍고 그냥 연결합니다. (양쪽은 x축과 평행하게)

연습)

즉, 이 그래프는 (-2, -3)과 (1, 3)을 지납니다.
좌표평면에 두 점을 찍고 그냥 연결합니다. (양쪽은 x축과 평행하게)

유형3)

ⅰ) x>2

ⅱ) 1≤x≤2

ⅲ) x<1

세 그래프를 합치면

바로 그려보면

즉, 이 그래프는 (1, 1)과 (2, -1)을 지납니다.
좌표평면에 두 점을 찍고 그냥 연결합니다. (양쪽은 x축과 평행하게)

연습)

즉, 이 그래프는 (-2, 3)과 (1, -3)을 지납니다.
좌표평면에 두 점을 찍고 그냥 연결합니다. (양쪽은 x축과 평행하게)

③ 절댓값이 3개인 함수

이번에는 기준점이 3개 (1, 2, 3)
따라서 구간을 네 개로 나눠야 합니다.

ⅰ) x>3

ⅱ) 2<x≤3

ⅲ) 1<x≤2

ⅳ) x≤1

네 그래프를 합치면

바로 그려보면

즉, 이 그래프는 (1, 3)과 (2, 2)와 (3, 3)을 지납니다.
좌표평면에 세 점을 찍고 그냥 연결합니다. (양쪽 두 직선은 기울기가 ±3, 가운데 두 직선은 기울기가 ±1)

연습)

즉, 이 그래프는 (-1, 7)과 (2, 4)와 (3, 5)를 지납니다.
좌표평면에 세 점을 찍고 그냥 연결합니다. (양쪽 두 직선은 기울기가 ±3, 가운데 두 직선은 기울기가 ±1)

가끔 이런 문제가 등장합니다.

그래프를 정확히 그려서 최솟값을 찾아야 하겠지만
그려보면 결론은 다음과 같습니다.
기준점 3개 중 가운데 값일 때 (1, 2, 3 중 가운데 값은 2)
최솟값을 가진다. 즉
최솟값은 f(2)=2 입니다.
위에서 그린 그래프에서 확인해 보세요~
연습)

기준점 3개 (-1, 2, 3) 중에
가운데 값은 2
따라서
최솟값은 f(2)=4 입니다.
역시 위에서 그린 그래프에서 확인해 보세요~
휴~~ 끄으으으으으읏~~~ ^-^//
▶ 수학 전체 목록 바로가기 → www.gajok.co.kr/math.html
'수학' 카테고리의 다른 글
| 절댓값이 포함된 방정식과 부등식 (0) | 2021.03.08 |
|---|---|
| 절댓값 그래프 (3) (0) | 2021.03.04 |
| 절댓값 그래프 (1) (1) | 2021.02.25 |
| 식, 함수, 방정식 (0) | 2021.02.22 |
| 소금물의 농도 (0) | 2021.02.18 |