절댓값을 포함한 식의 그래프는
네가지로 구분합니다.
① 식 전체에 절댓값이 씌워진 경우

② x에만 절댓값이 씌워진 경우

③ y에만 절댓값이 씌워진 경우

④ x, y 모두에 절댓값이 씌워진 경우

이제 차례대로 하나씩 그려보겠습니다.
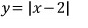
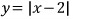
① 식 전체에 절댓값이 씌워진 경우

ⅰ) x≥2

그래프를 그리고, x≥2 부분만 놔둡니다.

ⅱ) x<2

그래프를 그리고, x<2 부분만 놔둡니다.

이제 위의 두 그래프를 합치면
우리가 그리고자 하는 그래프가 나옵니다.

이런 방식으로 그리는 것이 정석(?)이지만
대부분은 다른 방식으로 그리죠

이 함수의 그래프를 그리려면
일단 절댓값을 없애고 그린 다음

y값이 음수인 부분은
위로 올려줍니다. (x축에 대하여 대칭이동)

그리고, y값이 음수인 부분을 지워주면
우리가 그리고자 하는 그래프가 나옵니다.

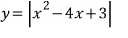
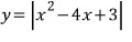
이차함수로 하나 더 해볼까요

ⅰ) x<1 또는 x>3

그래프를 그리고, x<1 또는 x>3 부분만 놔둡니다.

ⅱ) 1≤x≤3

그래프를 그리고, 1≤x≤3 부분만 놔둡니다.

이제 위의 두 그래프를 합치면
우리가 그리고자 하는 그래프가 나옵니다.

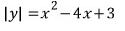
이차식 전체에 절댓값이 씌워진 경우
이렇게 구간을 나눠서 그래프를 그리는 것은 본 적이 없는 것 같네요 ;;;;;
암튼
남들이 하는대로 다른 방식으로 그려보죠

이 함수의 그래프를 그리려면
일단 절댓값을 없애고 그린 다음

y값이 음수인 부분은
위로 올려줍니다. (x축에 대하여 대칭이동)

그리고, y값이 음수인 부분을 지워주면
우리가 그리고자 하는 그래프가 나옵니다.

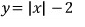
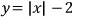
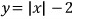
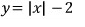
② x에만 절댓값이 씌워진 경우

ⅰ) x≥0

그래프를 그리고, x≥0 부분만 놔둡니다.

ⅱ) x<0

그래프를 그리고, x<0 부분만 놔둡니다.

이제 위의 두 그래프를 합치면
우리가 그리고자 하는 그래프가 나옵니다.

이런 방식으로 그리는 것이 정석(?)이지만
대부분은 다른 방식으로 그리죠

이 함수의 그래프를 그리려면
일단 절댓값을 없애고 그린 다음

x값이 양수인 부분만 남기고

y축에 대하여 대칭이동 시키면
우리가 그리고자 하는 그래프가 나옵니다.

이차함수로 하나 더 해볼까요

참고로
아래 세 함수는 모두 같은 함수입니다.

ⅰ) x≥0

그래프를 그리고, x≥0 부분만 놔둡니다.

ⅱ) x<0

그래프를 그리고, x<0 부분만 놔둡니다.

이제 위의 두 그래프를 합치면
우리가 그리고자 하는 그래프가 나옵니다.

이런 방식으로 그리는 것이 정석(?)이자만
대부분은 다른 방식으로 그리죠

이 함수의 그래프를 그리려면
일단 절댓값을 없애고 그린 다음

x값이 양수인 부분만 남기고

y축에 대하여 대칭이동 시키면
우리가 그리고자 하는 그래프가 나옵니다.

③ y에만 절댓값이 씌워진 경우

ⅰ) y≥0

그래프를 그리고, y≥0 부분만 놔둡니다.

ⅱ) y<0

그래프를 그리고, y<0 부분만 놔둡니다.

이제 위의 두 그래프를 합치면
우리가 그리고자 하는 그래프가 나옵니다.

이런 방식으로 그리는 것이 정석(?)이지만
대부분은 다른 방식으로 그리죠

이 방정식의 그래프를 그리려면
일단 절댓값을 없애고 그린 다음

y값이 양수인 부분만 남기고

x축에 대하여 대칭이동 시키면
우리가 그리고자 하는 그래프가 나옵니다.

이차방정식으로 하나 더 해볼까요

ⅰ) y≥0

그래프를 그리고, y≥0 부분만 놔둡니다.

ⅱ) y<0

그리프를 그리고, y<0 부분만 놔둡니다.

이제 위의 두 그래프를 합치면
우리가 그리고자 하는 그래프가 나옵니다.

이런 방식으로 그리는 것이 정석(?)이지만
대부분은 다른 방식으로 그리죠

이 방정식의 그래프를 그리려면
일단 절댓값을 없애고 그린 다음

y값이 양수인 부분만 남기고

x축에 대하여 대칭이동 시키면
우리가 그리고자 하는 그래프가 나옵니다.

④ x, y 모두에 절댓값이 씌워진 경우

ⅰ) x≥0, y≥0

그래프를 그리고, x≥0, y≥0 부분만 놔둡니다.

ⅱ) x≥0, y<0

그래프를 그리고, x≥0, y<0 부분만 놔둡니다.

ⅲ) x<0, y≥0

그래프를 그리고, x<0, y≥0 부분만 놔둡니다.

ⅳ) x<0, y<0

그래프를 그리고, x<0, y<0 부분만 놔둡니다.

이제 위의 네 그래프를 합치면
우리가 그리고자 하는 그래프가 나옵니다.

이런 방식으로 그리는 것이 정석(?)이지만
대부분은 다른 방식으로 그리죠

이 방정식의 그래프를 그리려면
일단 절댓값을 없애고 그린 다음

x값, y값이 모두 양수인 부분만 남기고

x축, y축, 원점에 대하여 각각 대칭이동 시키면
우리가 그리고자 하는 그래프가 나옵니다.

일차방정식 하나 더...

ⅰ) x≥0, y≥0

그래프를 그리고, x≥0, y≥0 부분만 놔둡니다.

ⅱ) x≥0, y<0

그래프를 그리고, x≥0, y<0 부분만 놔둡니다.

ⅲ) x<0, y≥0

그래프를 그리고, x<0, y≥0 부분만 놔둡니다.

ⅳ) x<0, y<0

그래프를 그리고, x<0, y<0 부분만 놔둡니다.

이제 위의 네 그래프를 합치면
우리가 그리고자 하는 그래프가 나옵니다.

이런 방식으로 그리는 것이 정석(?)이지만
대부분은 다른 방식으로 그리죠

이 방정식의 그래프를 그리려면
일단 절댓값을 없애고 그린 다음

x값, y값이 모두 양수인 부분만 남기고

x축, y축, 원점에 대하여 각각 대칭이동 시키면
우리가 그리고자 하는 그래프가 나옵니다.

일차방정식 또 하나 더... ;;;;;

ⅰ) x≥0, y≥0

그래프를 그리고, x≥0, y≥0 부분만 놔둡니다.

ⅱ) x≥0, y<0

그래프를 그리고, x≥0, y<0 부분만 놔둡니다.

ⅲ) x<0, y≥0

그래프를 그리고, x<0, y≥0 부분만 놔둡니다.

ⅳ) x<0, y<0

그래프를 그리고, x<0, y<0 부분만 놔둡니다.

이제 위의 네 그래프를 합치면
우리가 그리고자 하는 그래프가 나옵니다.

이런 방식으로 그리는 것이 정석(?)이지만
대부분은 다른 방식으로 그리죠

이 방정식의 그래프를 그리려면
일단 절댓값을 없애고 그린 다음

x값, y값이 모두 양수인 부분만 남기고

x축, y축, 원점에 대하여 각각 대칭이동 시키면
우리가 그리고자 하는 그래프가 나옵니다.

휴~ 마지막으로 이차방정식

ⅰ) x≥0, y≥0

그래프를 그리고, x≥0, y≥0 부분만 놔둡니다.

ⅱ) x≥0, y<0

그래프를 그리고, x≥0, y<0 부분만 놔둡니다.

ⅲ) x<0, y≥0

그래프를 그리고, x<0, y≥0 부분만 놔둡니다.

ⅳ) x<0, y<0

그래프를 그리고, x<0, y<0 부분만 놔둡니다.

이제 위의 네 그래프를 합치면
우리가 그리고자 하는 그래프가 나옵니다.

이런 방식으로 그리는 것이 정석(?)이지만
대부분은 다른 방식으로 그리죠

이 방정식의 그래프를 그리려면
일단 절댓값을 없애고 그린 다음

x값, y값이 모두 양수인 부분만 남기고

x축, y축, 원점에 대하여 각각 대칭이동 시키면
우리가 그리고자 하는 그래프가 나옵니다.

아오~ 끄으으으으으읏..!! ^-^//
▶ 수학 전체 목록 바로가기 → www.gajok.co.kr/math.html
'수학' 카테고리의 다른 글
| 절댓값 그래프 (3) (0) | 2021.03.04 |
|---|---|
| 절댓값 그래프 (2) (0) | 2021.03.01 |
| 식, 함수, 방정식 (0) | 2021.02.22 |
| 소금물의 농도 (0) | 2021.02.18 |
| 삼각형 넓이 구하기 (1) (0) | 2021.02.15 |