수학공부
분류 전체보기
(173)
수학
(172)
홈
태그
방명록
목차보기
03-17 09:08
/
/
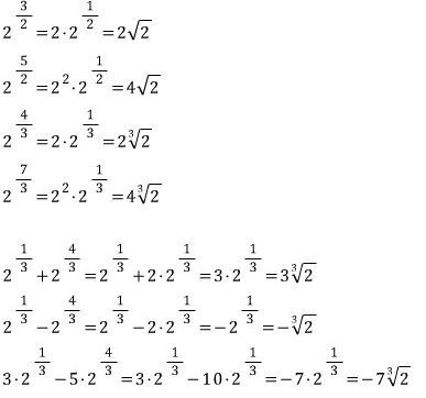
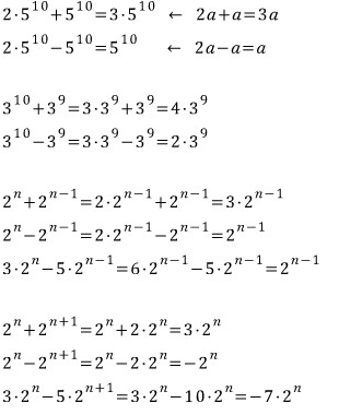
지수 (1)
2021. 4. 15. 11:03
728x90
반응형
▶ 수학 전체 목록 바로가기 →
www.gajok.co.kr/math.html
728x90
반응형
공유하기
게시글 관리
수학공부
저작자표시
비영리
변경금지
(새창열림)
'
수학
' 카테고리의 다른 글
통분
(0)
2021.04.22
일정하게 증가감소
(0)
2021.04.19
거듭제곱근
(0)
2021.04.12
정수부분과 소수부분
(0)
2021.04.08
조립제법 조심하기
(0)
2021.04.05
+ Recent posts
Powered by
Tistory
, Designed by
wallel
Rss Feed
and
Twitter
,
Facebook
,
Youtube
,
Google+
티스토리툴바
수학공부
구독하기