3.42 의
정수부분은 3
소수부분은 0.42
양수의 정수부분과 소수부분은
정수부분과 소수부분의 정확한 정의를 몰라도
그냥 상식적으로 알 수 있습니다. 위와 같이...
하지만
음수의 경우에도 상식적으로 생각해서
-3.42 의
정수부분은 -3
소수부분은 -0.42 라고 하면 바로 틀려버립니다. ㅠ
-3.42 의
정수부분은 -4
소수부분은 0.58 이거든요
그럼, 이제
정수부분과 소수부분의 정확한 의미(정의)를 알아봐야겠네요
먼저, 정수부분
"자신을 넘지 않는 가장 큰 정수" 또는 "자신보다 크지 않은 가장 큰 정수"
가 바로 그 수의 정수부분입니다.
어디서 많이 들어봤죠..?!
예, 맞습니다.
바로 가우스의 정의입니다. ('가우스' 참고요~)
3.42 의 정수부분은
3.42 보다 크지 않은 가장 큰 정수, 즉 3
-3.42 의 정수부분은
-3.42 보다 크지 않은 가장 큰 정수, 즉 -4
다음, 소수부분
뭐... 소수부분은 간단합니다.
자신에서 자신의 정수부분을 걍 빼주면 됩니다.
3.42 의 소수부분은
(3.42) - (3.42의 정수부분) = (3.42) - (3) = 0.42
-3.42 의 소수부분은
(-3.42) - (-3.42의 정수부분) = (-3.42) - (-4) = 0.58
음수의 소수부분은 이렇게 구하기도 합니다.

암튼, 그래서
소수부분은 항상 0과 1 사이입니다.

정수부분, 소수부분 문제가 나오는 곳은
거의 대부분 루트와 로그입니다.
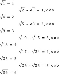
먼저, 루트

무엇을 표시해 놓은 건지
알겠죠..?! ;;;;;
연습해 보면

다음, 로그

무엇을 표시해 놓았는지
이해되리라 믿슴다.
연습해 보면

상용로그 말고
밑이 10이 아닌 로그도 한번 해보면

연습해 보면

PS1.

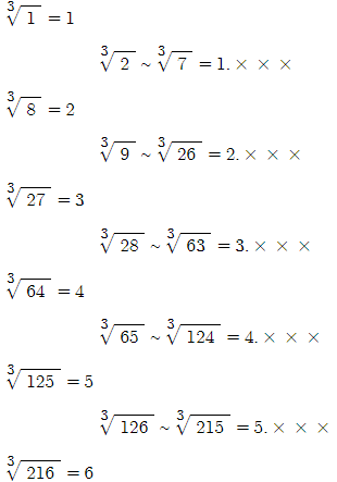
네제곱근, 다섯제곱근, ... 도
같은 방식으로 정수부분과 소수부분을 찾을 수 있습니다.
PS2.

그런데, 로그에서는
정수부분과 소수부분을 부르는 용어가 따로 있습니다.
정수부분 = 지표
소수부분 = 가수

뭐... 좀 있어 보이나요..?! ;;;;;
요즘 교과서에서는
지표, 가수 이런 말은 사용하지 않고
그냥 정수부분, 소수부분이라고만 하는 것 같습니다.
그래도 뭐...
알아둬서 나쁠 건 없죠
하나 더...
지표가 음수일 때
표지하는(적는) 방법이 있습니다.

요렇게 적고
사'바'쩜사칠팔팔 이라고 읽습니다.
암튼, 그래서

▶ 수학 전체 목록 바로가기 → www.gajok.co.kr/math.html