728x90
반응형
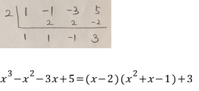
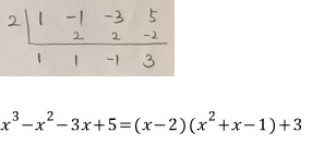
문제1)

걍 나눠서 구하거나

조립제법으로 구하거나

따라서

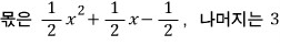
문제2)

걍 나눠서 구하면
몫과 나머지가 제대로 나오지만

조립제법으로 구하려면
조심해야 된다는 거..!!

따라서

문제3)

역시 걍 나눠서 구하면
몫과 나머지가 제대로 나오지만

조립제법으로 구하려면
조심해야 된다는 거..!!

따라서

문제4)

따라서

문제5)

따라서

문제6)

따라서

문제7)

따라서

문제8)
f(x)를 (x-3)으로 나눈 몫이 Q(x), 나머지가 R일 때
xf(x)를 (2x-6)으로 나눈 몫과 나머지는?

문제9)
f(x)를 (x-3)으로 나눈 몫이 Q(x), 나머지가 R일 때
xf(x)를 (1/2x-3/2)으로 나눈 몫과 나머지는?

▶ 수학 전체 목록 바로가기 → www.gajok.co.kr/math.html
728x90
반응형
'수학' 카테고리의 다른 글
| 거듭제곱근 (0) | 2021.04.12 |
|---|---|
| 정수부분과 소수부분 (0) | 2021.04.08 |
| 항등식 (3) (0) | 2021.04.01 |
| 삼각비로 좌표 나타내기 (0) | 2021.03.29 |
| 회전시킨 점의 좌표 (1) | 2021.03.25 |