통분은 초등학생 때 배운 건데..?!
통분쯤이야 하는 학생들도 있겠지만
고등학교에서 나오는 통분이 그리 단순하지가 않습니다.
그래서 많은 고등학생들이 통분을 못해 헤매고 있다는... ㅠ
딱히 어디 물어보기도 그렇고
쉬운 거부터 하나하나 시작해 보죠~



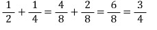
이걸 이렇게 8로 통분하진 마세요~


잘 따라오고 있죠..?!
아직 갈 길이 멀어요...








세 개짜리 들어갑니다~
------------------------------------------------------------------------------------------------------






이 정도로 하고
이제 진짜 본론으로~
------------------------------------------------------------------------------------------------------
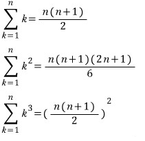
시그마공식 3개는 다 알고 있죠..?

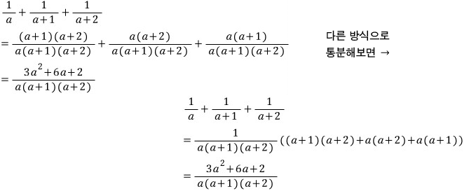
실은 아래 4개의 식을 계산(통분)하는 게
이 글의 목적입니다.




여러분은 첫번째 방식처럼 일단 통분을 해놓고
인수분해 하는 것이 편하고 익숙할지 모르겠지만
유감스럽게도 풀이집을 보면 대부분
통분하면서 바로 인수분해를 해버리는 두 번째 방식으로 폴어놓았다는... ㅠ
첫번째 방식으로 풀어도 누가 뭐라 하진 않겠지만
그래도 두 번째 방식이 뭐 좀 있어 보이지 않나요..?! ^-^//
요기로 가면 → www.gajok.co.kr/math.html
다른 글들도 편리하게 볼 수 있습니다.
