
먼저 읽는 것부터
세제곱근 오, 네제곱근 오, 다섯제곱근 오, 여섯제곱근 오, 일곱제곱근 오, 여덟제곱근 오, ...
뭐... 이렇게 읽어도 되는데 어감은 좀 이상합니다.
삼제곱근 오, 사제곱근 오, 오제곱근 오, 육제곱근 오, 칠제곱근 오, 팔제곱근 오, ...
굳이 비유를 하자면 '사과 세 개'와 '사과 삼 개'라고나 할까요
'사과 삼 개'라고 하면 틀린 건가요..?! ;;;;; 암튼
앞으로 우리는 이렇게 읽는 걸로
세제곱근 오, 네제곱근 오, 다섯제곱근 오, 여섯제곱근 오, 일곱제곱근 오, 여덟제곱근 오, ...
어디가서 이렇게 읽으면 안 돼요~
세제곱근 루트 오, 네제곱근 루트 오, 다섯제곱근 루트 오, 여섯제곱근 루트 오, ...
아래에서 바로 얘기하겠지만
루트는 제곱근의 다른 이름일 뿐입니다.
우리가 흔히 '루트'라고 읽는 놈은 사실은 앞에 2가 생략된 것입니다.

그렇게 때문에 '루트 오'의 정식 이름은 '두제곱근 오'
'두'는 생략하고 '제곱근 오'라고 읽습니다.
'루트'라는 이름이 어케 생겨났는지는 모르겠지만

이쯤하고...
이제 본론으로 들어갑니다~

감이 잡히나요?
이해를 위해서 일단은 이렇게 시작했지만
앞으로 식을 몇 번 수정할 것입니다.
두 번 곱해서 5가 되는 수 (5의 제곱근)는

네 번 곱해서 5가 되는 수 (5의 네제곱근)는

여섯 번 곱해서 5가 되는 수 (5의 여섯제곱근)는

따라서
위의 식을 수정하면

그리고
수학에서 기본적으로
이차방정식의 근은 2개
삼차방정식의 근은 3개
사차방정식의 근은 4개
......
백차방정식의 근은 100개입니다.
그러므로
한번 더 수정하면

네모로 표시된 값은 모두 허수입니다.
정리하면
5의 제곱근은 2개 (실수 2개, 허수 0개)
5의 세제곱근은 3개 (실수 1개, 허수 2개)
5의 네제곱근은 4개 (실수 2개, 허수 2개)
5의 다섯제곱근은 5개 (실수 1개, 허수 4개)
5의 여섯제곱근은 6개 (실수 2개, 허수 4개)
5의 일곱제곱근은 7개 (실수 1개, 허수 6개)
......
한번 더 정리하면
5의 짝수제곱근 중 실수는 2개, 나머지는 모두 허수
5의 홀수제곱근 중 실수는 1개, 나머지는 모두 허수
이번에는
음수인 경우를 생각해 보겠습니다.
짝수번 곱해서
음수가 나오는 실수는 존재하지 않습니다.

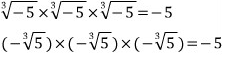
참고로, -5의 세제곱근은

물론 결과는 같지만요

암튼, 정리하면
-5의 제곱근은 2개 (실수 0개, 허수 2개)
-5의 세제곱근은 3개 (실수 1개, 허수 2개)
-5의 네제곱근은 4개 (실수 0개, 허수 4개)
-5의 다섯제곱근은 5개 (실수 1개, 허수 4개)
-5의 여섯제곱근은 6개 (실수 0개, 허수 6개)
-5의 일곱제곱근은 7개 (실수 1개, 허수 6개)
......
한번 더 정리하면
-5의 짝수제곱근 중 실수는 0개, 모두 허수
-5의 홀수제곱근 중 실수는 1개, 나머지는 모두 허수
마지막으로
0인 경우를 생각해 보면

모든 수학이
이렇게 간단하면 얼마나 좋을까요 ;;;;;
암튼, 끝났습니다.
최종적으로 정리하면

많은 수학책에 나오는 표입니다.
이 간단한(?) 걸 너무 장황하게 설명했나요..?! ^-^// ;;;;;
요기로 가면 → www.gajok.co.kr/math.html
다른 글들도 편리하게 볼 수 있습니다.
