100원의 20%는

100원에서 20%가 증가하면

100원에서 20%가 감소하면

문자로 해볼까요
똑같습니다.
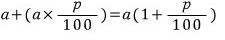
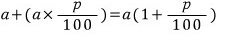
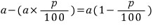
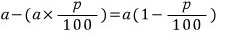
a의 p%는

a에서 p%가 증가하면

a에서 p%가 감소하면

이제부터는
이런저런 생각없이 바로바로 써야 합니다. 요렇게

그냥 비율로 표현하면

한단계 더 나가 볼까요
100원에서 20%가 증가하고, 여기에서 다시 30%가 증가하면

a에서 p%가 증가하고, 여기에서 다시 q%가 증가하면

a에서 비율 r로 증가하고, 여기에서 다시 비율 s로 증가하면

100원에서 20%가 증가하고, 여기에서 다시 30%가 감소하면

a에서 p%가 증가하고, 여기에서 다시 q%가 감소하면

a에서 비율 r로 증가하고, 여기에서 다시 비율 s로 감소하면

100원에서 20%가 증가하고, 여기에서 다시 20%가 증가하면

a에서 p%가 증가하고, 여기에서 다시 p%가 증가하면

a에서 비율 r로 증가하고, 여기에서 다시 비율 r로 증가하면

100원에서 20%가 감소하고, 여기에서 다시 20%가 감소하면

a에서 p%가 감소하고, 여기에서 다시 p%가 감소하면

a에서 비율 r로 감소하고, 여기에서 다시 비율 r로 감소하면

감 잡았나요?
하나 더 해보죠.. 뭐.. 시간도 많은데 ;;;;;
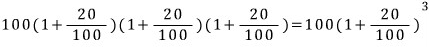
100원에서 20%가 증가하고, 여기에서 다시 20%가 증가하고, 여기에서 다시 20%가 증가하면

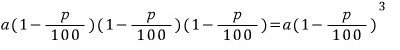
a에서 p%가 증가하고, 여기에서 다시 p%가 증가하고, 여기에서 다시 p%가 증가하면

a에서 비율 r로 증가하고, 여기에서 다시 비율 r로 증가하고, 여기에서 다시 비율 r로 증가하면

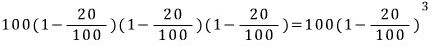
100원에서 20%가 감소하고, 여기에서 다시 20%가 감소하고, 여기에서 다시 20%가 감소하면

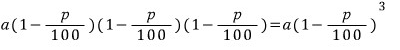
a에서 p%가 감소하고, 여기에서 다시 p%가 감소하고, 여기에서 다시 p%가 감소하면

a에서 비율 r로 감소하고, 여기에서 다시 비율 r로 감소하고, 여기에서 다시 비율 r로 감소하면

이제 결론을 내보면
100원에서 20%가 n번 증가하면, 감소하면

a에서 p%가 n번 증가하면, 감소하면

a에서 비율 r로 n번 증가하면, 감소하면

많이 보던 공식이죠..?! ;;;;;
수학 문제집을 보면
많은 표현들이 나오는데 다 똑같습니다.
빛이 어떤 유리 1장을 통과할 때마다 그 밝기가 30%씩 감소한다.
빛이 이 유리를 10장 통과했을 때의 빛의 밝기는? (a는 처음 빛의 밝기)

빛이 물 속을 100m 통과할 때마다 그 밝기가 30%씩 감소한다.
빛이 이 물 속을 2km 통과했을 때의 빛의 밝기는?

인구가 매년 2%씩 증가한다. 5년 후의 인구는? (a는 현재 인구)

인구가 매년 2%씩 감소한다. 5년 후의 인구는?

인구가 5년 동안은 매년 2%씩 증가하고
그 후 5년 동안은 매년 3%씩 감소한다. 10년 후의 인구는?

세균이 30분마다 그 수가 2배로 증가한다.
7시간 후의 세균의 수는? (a는 처음 세균 수)

2배로 증가한다는 소리는 증가율이 100%
7시간이면 30분이 14번
기타 등등... 문제는 얼마든지 낼 수 있겠죠
그런데 젤 중요한 걸 빼먹었네요. 돈 계산..!!
돈 계산 하기 전에
먼저 상식적인(?) 이야기부터 해보면
이자를 지급하는 방식에는
단리와 복리, 두가지가 있습니다.
100원에
이자가 20% 붙으면 120원
여기에 다시 이자가 20% 붙으면 140원
여기에 다시 이자가 20% 붙으면 160원
......
이런 식으로
처음 금액 100원에 대해서만 이자를 계산하는 방식이 '단리'입니다.
좀 불합리한 측면이 있죠. 왜냐면
처음 이자가 붙어서 120원이 됐으면
다음 번의 20%는 20원이 아니라 24원이거든요. 즉
100원에
이자가 20% 붙으면 120원
여기에 다시 이자가 20% 붙으면 144원
여기에 다시 이자가 20% 붙으면 172.8원
(144원의 20%는 28.8원, 144+28.8=172.8)
이런 식으로 이자를 계산하는 방식이 '복리'입니다.
머리 아파할 필요가 없는 것이
수학에서 계산하는 방식은 모두 복리입니다.
위에서 예로 든 (돈은 아니지만)
빛의 세기, 인구, 세균을 계산하는 방식도 모두 복리방식이였구요
결론은
수학문제에 '복리로 어쩌고저쩌고' 나와도
신경 안 써도 된다는 말씀..!!
이야기가 좀 길어졌네요
이제 돈 계산을 해볼까요 (사실은 이미 위에서 다 했습니다.)
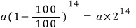
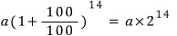
100만원을 연이율 3%로 5년간 은행에 저금해 놓으면 (물론 복리로)

이걸 시각적으로 표현해 보면

무엇을 표현해 놓았는지
얼추 느낌은 오죠..?! ;;;;;
요정도로만 하고
이제 적금이야기로 들어갑니다~
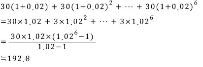
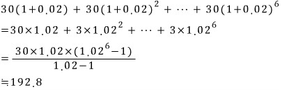
월이율 2%로 30만원씩 6개월 적금을 부으면
6개월 후에 받는 돈(원리합계)은 얼마가 될까요?
사실 월이율 2%(연이율로 따지면 24%)는
거의 뭐 사채수준입니다. 요즘은 연이율이 2%도 안되니까요
그냥 계산의 편의를 위한 거니까요
너그러이 이해를... ;;;;; 암튼
적금을 타는 시점에서 보면
매달 붓는 30만원의 가치는 다릅니다.
처음 30만원은 이자가 6번 붙고
다음 30만원은 5번
다음 30만원은 4번
뭐... 이런 식입니다.
이걸 시각적으로 표현해 보면

이제 이걸 다 더하기만 하면 됩니다.

계산기를 두드려 보니
192만 8천원 정도가 나오네요
원금이 180만원(30만원x6) 이니까
이자는 12만 8천원 정도
요즘 이런 적금이 있으면
시판 1분만에 완판될 듯요 ;;;;;
이번에는 외상거래..!!
100만원짜리 물건을 외상으로 구매하고
6개월 후에 지불하려면 얼마를 내야 할까요?
판매자 입장에서 보면
지금 받아야 할 100만원을 6개월 후에 받는 거고
(6개월 동안의 이자를 손해보는 거고)
구매자 입장에서 보면
지금 줘야 할 100만원을 6개월 후에 주는 겁니다.
(6개월 동안의 이자를 이득보는 겁니다.)
그럼 당연히
6개월 동안의 이자는 구매자가 부담해야겠죠
따라서, 구매자는 6개월 후에 (월이율은 2%로 가정)

사실 이런 상황은 문제에 나오지 않죠
문제에 나오는 거는 할부거래..!!
100만원짜리 물건을 6개월 할부로 구매하면
매월 얼마를 내야 할까요? (역시 월이율은 2%로 가정)
판매자 입장

구매자 입장 (1개월 후부터 할부금 납입)

같이 그려보면 (대부분의 풀이집에 나와 있는 그림입니다.)

서로 손해를 보지 않으려면

식을 정리하면

계산기 열심히 두드려보니

한달에
17만 9천원 정도의 할부금을 납입하면 되네요
요정도 이해하고 이제
문제집에 나와 있는 문제들을 함 풀어보세요
문제들이 좀 쉽고 편하게 느껴졌으면
하는 바람이 있습니다~ ^-^//
요기로 가면 → www.gajok.co.kr/math.html
다른 글들도 편리하게 볼 수 있습니다.
