이 글에 대한 AI '클로드'의 평가

(상세한 평가는 이 글 마지막에 있습니다.)
통분을 했으니
약분도 잠깐 할께요~

이런 거야 뭐... 차례대로 약분하면
분모는 2만 남고, 분자는 100만 남습니다.


이런 건... 하나씩 건너뛰어서 약분하면
분모는 2와 3만 남고, 분자는 99와 100만 남습니다.

고등학교 수학에 나오는 약분 중
그나마(?) 어려운 건 이런 거죠

이런저런 방법으로 약분할 수 있겠지만
식을 이렇게 바꿔서 약분하는 게 젤로 나은 것 같습니다.

앞뒤로 하나씩 약분되고
분모는 2와 51만 남고, 분자는 3과 50만 남습니다.

고등학교 수학에서 약분은 로그와 시그마 문제에서 주로 등장하고
수열의 일반항 구하는 문제에서도 가끔 한번씩 등장합니다.
먼저, 로그와 시그마 문제부터
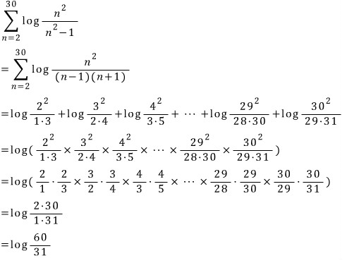
문제1)

문제2)

문제3)

다음으로
수열의 일반항 구하는 문제
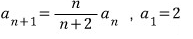
문제4)

이 수열의 일반항을 구하려면
일단 식부터 살짝 바꿔놓고

문제5)

이 수열의 일반항을 구해보면

문제6)

이 수열의 일반항을 구하려면
역시 일단 식부터 살짝 바꿔놓고

PS.
이걸 약분하라고 하면

4와 2만 약분하거나

4와 6만 약분하는 학생들이 의외로 꽤 많습니다. ㅠ

4와 2와 6을 다같이 약분해야 되는데

그런데
곱하기는 다르죠..?!
이걸 약분하라고 하면

2와 4와 6을 다같이 약분하면 안되고

2와 4만 약분하거나

2와 6만 약분해야 된다는 거..!!

수학에서
이런 사소한(?) 실수는 치명적입니다..!! ^-^//
▶ 수학 전체 목록 바로가기 → www.gajok.co.kr/math.html

