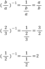
기본적인 번분수 공식(?)입니다.

이걸 위와 같이 공식으로 안하고
기본에 충실해서 직접 푸는 학생들도 있습니다. 이렇게요

뭐... 굳이 말리지는 않지만
그렇다고 권하는 것도 아닙니다. 각자 알아서 ;;;;;
분자가 1이면
그냥 분모를 뒤집기만 하면 됩니다. 무슨 말이냐면요

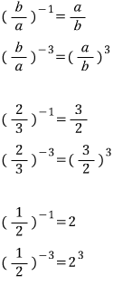
지수로 표현해 보면

앞으로 이런 게 나오면
번거롭게 계산하지 않고 바로 쓸 수 있겠죠..?! 이렇게요

이케 생긴 번분수도 많이 나오죠
대부분의 학생들은 이렇게 계산하는 것 같습니다.

이렇게 풀어도 되는데

어떤 풀이가 더 편하게 느껴지나요..?
몇 개 더 풀어보겠습니다.

문자가 포함되어 있는 식도 풀어볼까요

여러분이 어떤 풀이를 더 선호하는지 모르겠지만
두 번째 풀이를 권장합니다. (앞으로는 두 번째 풀이로만 설명하겠다는 의미입니다. ;;;;;)
이런 번분수를 보면 어떤 느낌이...

앞에서 푼 문제임다.

지금은 분수로 바꿔서 풀었지만
지수가 어느 정도 익숙해지면
분수로 바꾸지 않고 바로 풀 수 있습니다. 요렇게

얼른 익숙해지세요~
식에 문자가 들어있어도 마찬가지

좀 익숙해지면... 요렇게 바로

이건 어때요..?

뭐 딱히 다르지 않습니다.

역시 익숙해지면... 요렇게 바로

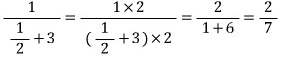
문제1)

통분해서 풀어도 되지만

앞의 식만 요렇게 고쳐서

풀이가 뭐 있어 보이지 않나요..?! ;; 암튼
비슷한 유형으로 자주 등장하는 문제임다.

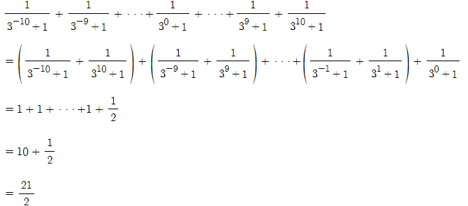
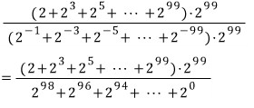
문제2)

이런 문제와 맞닥들이면
일단 번분수부터 해결해 놓고... 요렇게

다음부터는 각자 알아서 능력껏..!! ;;;;;
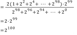
앗..!!
분자를 2로 묶으면 약분이 되네요

문제를 많이 풀어 본 고수들은

이런 걸 '수학실력'이라고 부릅니다.
'수학실력'은 경험에서 나오지
결코 머리에서 나오지 않습니다..!! ^-^//
PS.
아래 두 식은 번분수여서 분자, 분모에

아래 두 식은 번분수가 아닙니다.
뭐 곱해줘야 하지..?
고민하지 말고 걍 계산하세요~

▶ 수학 전체 목록 바로가기 → www.gajok.co.kr/math.html