728x90
반응형

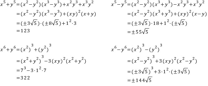
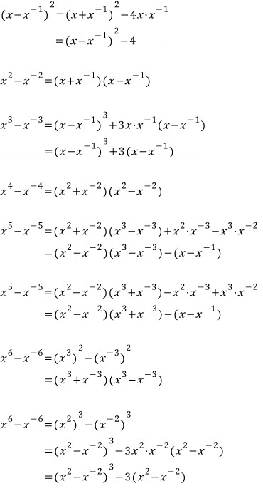
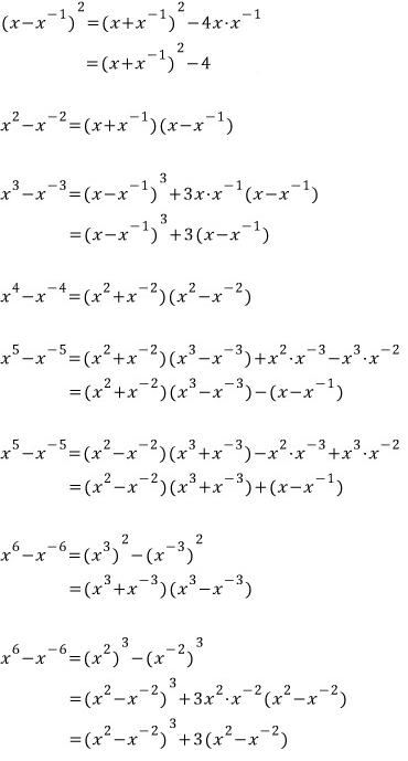
다섯제곱과 여섯제곱을
좀 다르게(어렵게?) 구해볼까요 ;;;;;

--------------------------------------------------------------------------------------------------------------------------------
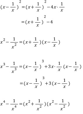
위의 공식에서

참고로





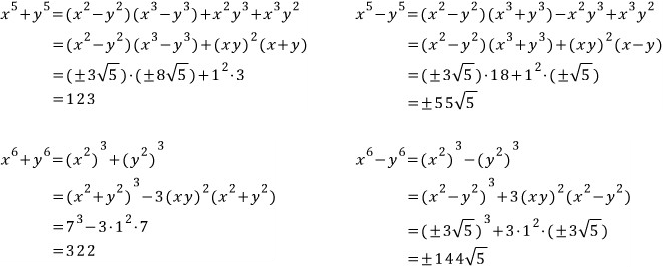
--------------------------------------------------------------------------------------------------------------------------------
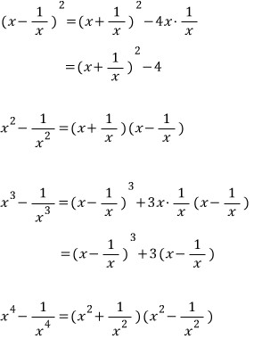
이번에는 위의 공식에서

참고로



요기로 가면 → www.gajok.co.kr/math.html
다른 글들도 편리하게 볼 수 있습니다.

728x90
반응형